难道是论文错了?国内论文啊!
时间:10-02
整理:3721RD
点击:
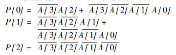
各位大大们,不知是我数电不过关还是论文错了,大家看看附图中是怎样根据真值表得出逻辑表达式的,我总是算不出它论文中的结果,只能是认为它是错的!
按Verilog语法:
assign P[0] = (~A[3]) & A[2] | (~A[3]) & (~A[2]) & (~A[1]) & A[0];
assign P[1] = (~A[3]) & (~A[2]) & A[1] | (~A[3]) & (~A[2]) & (~A[1]) & A[0];
assign P[2] = (~A[3]) & (~A[2]) & (~A[1]) & (~A[0]);
你是说p【1】有问题是吗?第二个加号+应该为乘号*。
你不觉得这都有问题吗?很明显P[2]就是错误的,如果A = 4‘b0011,那么无效0的个数为2,而代入公式中,结果却不是如此!
哦,我知道了,他上面那条线连着了。比如p[0]的第二项,不是A[2]A[1]A[0]的非,而是A[2]的非*A[1]的非*A[0]的非。
可能是文章错误了,也可能是打印或是网络上传时出现的问题。
学习了
的确有错误。
haimo在2楼、4楼已经说得较清楚了。
主要错误就是把“非与”错误地写成“与非”。(~A)&(~B) 不等于~(A&B)
按原文的习惯改为:
按Verilog语法:
assign P[0] = (~A[3]) & A[2] | (~A[3]) & (~A[2]) & (~A[1]) & A[0];
assign P[1] = (~A[3]) & (~A[2]) & A[1] | (~A[3]) & (~A[2]) & (~A[1]) & A[0];
assign P[2] = (~A[3]) & (~A[2]) & (~A[1]) & (~A[0]);
是啊,刚开始也认为论文弄错了,后来发现另一篇论文也是如此,谢谢了啊!
谢谢了!
