帮帮忙,怎么在matlab里面做出来这样的高通滤波器呢
时间:10-02
整理:3721RD
点击:
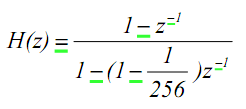
最近我在做一个SIGMA-DELTA ADC 的数字滤波器部分。前面的CIC以及CIC补偿,半带滤波器都可以很好的用matlab里面的自带的工具给仿真出来,不过后面还要跟一个高通滤波器,应该是来滤除DC-offset的,说实话,还不是很清楚它的作用。我想把它加上去再进行一次仿真。不过我才学这方面的内容,用了一些方法都仿不出来这样的滤波器效果图。这是一个输入频率48KHz的高通滤波器,然后呢cutoff frequency 是2Hz。后面给出了波形图,还有一个差不多的论文里面的,不过这个的cutoff frequency是30Hz,然后给了个传输函数。我试了一下用matlab里面自带的工具FDATOOL来做,感觉最接近这个图的就是用butterworth的方法来仿的,其它的在边缘都有尖峰。而且波形图的起点必须是正数,我看这个图怎么感觉是从零开始的呢~其实我也不是很确定。有没有哪个前辈能告诉我这个高通滤波到底作用是什么呢?或者什么叫做DC offset,它是怎么来的呢?还有就是这个波形最好使用什么方法来做效果最好呢~~~感觉这个问题应该比较基础的~~不过老是跳不过去蛮烦人的。谢谢大家了。最后还有就是我看那个高通滤波器是选通的,它的作用或者加入它的好处到底是什么呢?我看了一下国内的论文,一般都还没有涉及到这个高通滤波器。
下面这三个图,第一个是我需要仿出来的图形
第二个是我看到一片相似的论文上面的高通滤波器的图形,最后一个就是那片论文上面给出的传输函数
下面这三个图,第一个是我需要仿出来的图形
第二个是我看到一片相似的论文上面的高通滤波器的图形,最后一个就是那片论文上面给出的传输函数



自己先顶起了~,望高人解惑
前辈们,救急啊~
不会,帮顶啊
