FPGA实现肖峰算法

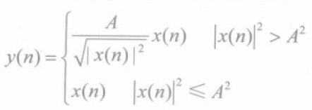
x(n)为输入信号,A为限定的阈值,y(n)为输出;公式的上部分,简化出来明明就等于A了(正负号根据x(n)来定),那么为什么还有做这个开方、除法、乘法呢?
这应该是都是复数吧,A是能量阀值
专业问题啊
数据都是IQ数据,需要根据统计功率算门限,这个公式,没注意过,
当输入amplitude 大于 threshold A, scale 输入信号real(x)and imag(x) .scale factor 等于门限/amplitude 目的减小spectrum spur 和evm 比直接cut到threshold好
我理解了一下,A其实是综合了I路和Q得到的一个幅值的峰值,假设A等于4.5,假设x(n)的I为3,Q为4,这么写x(n)=3+4i,
那么A/sqrt(abs(x(n))^2)=4.5/5;然后y(n)=4.5/5 * x(n) = 4.5/5*3 + 4.5/5*4i = 2.7 + 3.6i;
检验一下最终y(n)的综合幅值 abs(2.7+3.6i) = 4.5;
这样理解是对的了吧?
我理解一下,A应该是综合了I Q两路的一个限制峰值,假设A为4.5,假设x(n)的I为3,Q为4,x(n)=3+4i;
则A/sqrt(x(n)^2)=4.5/5;于是y(n)=4.5/5*x(n)=4.5/5*3 + 4.5/5*4 = 2.7+3.6i;
检验一下abs(y(n))=4.5正好是阈值A。
这样理解没问题了吧?
对的 从你的计算就才知道 真正scale factor 到I q
A 是输入设置参数的是amplitude 当信号过门限后 输出信号你不能直接等于A 你同样需要complex output
Btw
实际算法不是这样 它这个公式太简单了 属于概念解释 属于硬削峰 spectrum aclr 和 evm 估计过不了指标
我开始看错了 以为x(n)' 用来计算amplitude
