求助,串转并(VHDL)
时间:10-02
整理:3721RD
点击:
library ieee;
use ieee.std_logic_1164.all;
use ieee.std_logic_arith.all;
use ieee.std_logic_unsigned.all;
entity txd is
port (
clk,reset: in std_logic;
errin: in std_logic_vector(3 downto 0);
adin: in std_logic_vector(3 downto 0);
data: in std_logic;
tx: out std_logic;
dataout: out std_logic_vector(6 downto 0)
);
end;
architecture txdd of txd is
signal tp,carry,load,datain: std_logic;
signal reg1,reg2:std_logic_vector(7 downto 0);
signal gg : integer range 0 to 15;
signal clk1,err1,err2,err3,err4: std_logic;
signal adintemp : std_logic_vector(3 downto 0);
signal yy: std_logic_vector(2 downto 0);
begin
datain<= not data;
process(clk,reset)
variable hh: integer range 0 to 7;
begin
if reset='1' then
hh:=0;
elsif clk'event and clk='1' then
if hh=7 then
hh:=0;
else hh:=hh+1;
end if;
yy<=conv_std_logic_vector(hh,3);
end if;
end process;
clk1<=yy(2);
process( clk1,reset)
variable cntt: integer range 0 to 15;
begin
if reset ='1' then
cntt:=0;
adintemp<="0000";
err1<='0';
err2<='0';
err3<='0';
err4<='0';
elsif clk1'event and clk1='1' then
if cntt= 15 then
cntt:=0;
adintemp<=adin;
err1<=errin(0);
err2<=errin(1);
err3<=errin(2);
err4<=errin(3);
else
cntt:=cntt+1;
end if;
end if;
gg<=cntt;
end process;
process(clk1)
begin
if clk1'event and clk1='0' then
case gg is
when 0 => tx<='1';
when 1 => tx<='0';
when 2 => tx<=err1 ;
when 3 => tx<=err2 ;
when 4 => tx<=err3 ;
when 5 => tx<=err4 ;
when 6 => tx<=adintemp(0) ;
when 7 => tx<=adintemp(1) ;
when 8 => tx<=adintemp(2) ;
when 9 => tx<=adintemp(3) ;
when others => tx<='1';
end case ;
end if;
end process;
process(clk,reset)
variable cnt:integer range 0 to 8;
begin
if reset='1' then
tp<='1';
cnt:=0;
elsif (clk'event and clk='1') then
if datain = '0' and load='1' then
if cnt=8 then
cnt:=0;
else cnt:=cnt+1;
end if;
case cnt is
when 1 => reg1(0)<=datain;
when 2 => reg1(1)<=datain;
when 3 => reg1(2)<=datain;
when 4 => reg1(3)<=datain;
when 5 => reg1(4)<=datain;
when 6 => reg1(5)<=datain;
when 7 => reg1(6)<=datain;
when 8 => reg1(7)<=datain;
when others => null;
end case;
tp<=reg1(5) or reg1(6) or reg1(7);
end if;
end if;
end process;
process(clk,reset,tp)----每隔16个clk采集下一位数据
variable cnt1:integer range 0 to 15;
begin
if reset='1' then
cnt1:=0;
carry<='0';
elsif tp='0' then
if clk'event and clk='1' then
if cnt1=15 then
cnt1:=0;
carry<='1';
else cnt1:=cnt1+1;
carry<='0';
end if;
end if ;
end if;
end process;
process(carry,reset)----判断是否接收完一帧数据,load为1即为接收完毕;
variable cnt2:integer range 0 to 14;
begin
if reset='1' then
cnt2:=0;
load<='1';
elsif carry'event and carry='1' then
if cnt2=14 then
cnt2:=0;
load<='1';
else cnt2:=cnt2+1;
load<='0';
end if;
case cnt2 is
when 1 => reg2(0)<=datain;
when 2 => reg2(1)<=datain;
when 3 => reg2(2)<=datain;
when 4 => reg2(3)<=datain;
when 5 => reg2(4)<=datain;
when 6 => reg2(5)<=datain;
when 7 => reg2(6)<=datain;
when others => null;
end case;
end if;
end process;
process(load)
begin
if load='1' then
dataout(6 downto 0)<=reg2(6 downto 0);
end if;
end process;
end txdd;
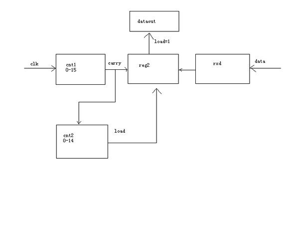
这是我自己写的并转串和串转并得代码,此段程序的目的是:先由CPLD外部输入8位并行数据,然后将这8位并行数据转换为16位串行数据,其中起始位为0,后面8位为CPLD输入的8位并行数据,其余的后面几位都为1,然后通过一根光纤实现自发自收,将串行码转换为并行码,串转并得流程是,先确认起始位0,对起始位0进行8次取样(计数到起始位0的中心点),如果几次取样为0,则开始读取后8位的数据,第一个计数器cnt1是计数16个clk到达下一个数据的中心点进行采样,进位为carry;第二个计数器cnt2是对carry进行计数,当计数到14时,表示此帧数据(16位)已经接收完,load为1时,将采集到得数据送到dataout中,但是我自己编写的串转并这一段代码,实现不了串转并得功能,请高手指点一下,哪个地方出错了,晶振为32M,下图为程序的流程图

use ieee.std_logic_1164.all;
use ieee.std_logic_arith.all;
use ieee.std_logic_unsigned.all;
entity txd is
port (
clk,reset: in std_logic;
errin: in std_logic_vector(3 downto 0);
adin: in std_logic_vector(3 downto 0);
data: in std_logic;
tx: out std_logic;
dataout: out std_logic_vector(6 downto 0)
);
end;
architecture txdd of txd is
signal tp,carry,load,datain: std_logic;
signal reg1,reg2:std_logic_vector(7 downto 0);
signal gg : integer range 0 to 15;
signal clk1,err1,err2,err3,err4: std_logic;
signal adintemp : std_logic_vector(3 downto 0);
signal yy: std_logic_vector(2 downto 0);
begin
datain<= not data;
process(clk,reset)
variable hh: integer range 0 to 7;
begin
if reset='1' then
hh:=0;
elsif clk'event and clk='1' then
if hh=7 then
hh:=0;
else hh:=hh+1;
end if;
yy<=conv_std_logic_vector(hh,3);
end if;
end process;
clk1<=yy(2);
process( clk1,reset)
variable cntt: integer range 0 to 15;
begin
if reset ='1' then
cntt:=0;
adintemp<="0000";
err1<='0';
err2<='0';
err3<='0';
err4<='0';
elsif clk1'event and clk1='1' then
if cntt= 15 then
cntt:=0;
adintemp<=adin;
err1<=errin(0);
err2<=errin(1);
err3<=errin(2);
err4<=errin(3);
else
cntt:=cntt+1;
end if;
end if;
gg<=cntt;
end process;
process(clk1)
begin
if clk1'event and clk1='0' then
case gg is
when 0 => tx<='1';
when 1 => tx<='0';
when 2 => tx<=err1 ;
when 3 => tx<=err2 ;
when 4 => tx<=err3 ;
when 5 => tx<=err4 ;
when 6 => tx<=adintemp(0) ;
when 7 => tx<=adintemp(1) ;
when 8 => tx<=adintemp(2) ;
when 9 => tx<=adintemp(3) ;
when others => tx<='1';
end case ;
end if;
end process;
process(clk,reset)
variable cnt:integer range 0 to 8;
begin
if reset='1' then
tp<='1';
cnt:=0;
elsif (clk'event and clk='1') then
if datain = '0' and load='1' then
if cnt=8 then
cnt:=0;
else cnt:=cnt+1;
end if;
case cnt is
when 1 => reg1(0)<=datain;
when 2 => reg1(1)<=datain;
when 3 => reg1(2)<=datain;
when 4 => reg1(3)<=datain;
when 5 => reg1(4)<=datain;
when 6 => reg1(5)<=datain;
when 7 => reg1(6)<=datain;
when 8 => reg1(7)<=datain;
when others => null;
end case;
tp<=reg1(5) or reg1(6) or reg1(7);
end if;
end if;
end process;
process(clk,reset,tp)----每隔16个clk采集下一位数据
variable cnt1:integer range 0 to 15;
begin
if reset='1' then
cnt1:=0;
carry<='0';
elsif tp='0' then
if clk'event and clk='1' then
if cnt1=15 then
cnt1:=0;
carry<='1';
else cnt1:=cnt1+1;
carry<='0';
end if;
end if ;
end if;
end process;
process(carry,reset)----判断是否接收完一帧数据,load为1即为接收完毕;
variable cnt2:integer range 0 to 14;
begin
if reset='1' then
cnt2:=0;
load<='1';
elsif carry'event and carry='1' then
if cnt2=14 then
cnt2:=0;
load<='1';
else cnt2:=cnt2+1;
load<='0';
end if;
case cnt2 is
when 1 => reg2(0)<=datain;
when 2 => reg2(1)<=datain;
when 3 => reg2(2)<=datain;
when 4 => reg2(3)<=datain;
when 5 => reg2(4)<=datain;
when 6 => reg2(5)<=datain;
when 7 => reg2(6)<=datain;
when others => null;
end case;
end if;
end process;
process(load)
begin
if load='1' then
dataout(6 downto 0)<=reg2(6 downto 0);
end if;
end process;
end txdd;
这是我自己写的并转串和串转并得代码,此段程序的目的是:先由CPLD外部输入8位并行数据,然后将这8位并行数据转换为16位串行数据,其中起始位为0,后面8位为CPLD输入的8位并行数据,其余的后面几位都为1,然后通过一根光纤实现自发自收,将串行码转换为并行码,串转并得流程是,先确认起始位0,对起始位0进行8次取样(计数到起始位0的中心点),如果几次取样为0,则开始读取后8位的数据,第一个计数器cnt1是计数16个clk到达下一个数据的中心点进行采样,进位为carry;第二个计数器cnt2是对carry进行计数,当计数到14时,表示此帧数据(16位)已经接收完,load为1时,将采集到得数据送到dataout中,但是我自己编写的串转并这一段代码,实现不了串转并得功能,请高手指点一下,哪个地方出错了,晶振为32M,下图为程序的流程图

这么牛逼的论坛没有一个人回复啊!
一个串转并用得着搞得这么复杂?
您还有更简单的?呵呵,那您给我一个吧,输入信号就是clk,reset,datain,输出信号时dataout
大哥,你说有谁会有闲心思看这么一段缺少注释的代码?
代码是慢慢调出来的
问问周边的人吧
论坛不适合问这类问题
太长了
good
good
good
good
good
好长啊~
把仿真波形一点点调出来看嘛,包括其中的信号和变量,总会找到原因的。
你的串并转换的设计思想有错
首先,你的同步用8倍过采样去做,只能实现位同步,但是帧同步你没法实现,也就是说你的串并转换程序无法断定什么时间出现的比,特位是第一位,在你的设计中用0位后一位为第一位,会被正常数据中的0搞乱.
再有,你用光纤做通信,那么你尾加全"1"是不对的.
明确的说,你不是通信专业的,对通信你不理做.好好读点书吧,你不限在你学校学的专业上.
