射频微带滤波器基础理论
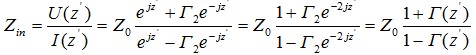
终端接负载阻抗时,则从距终端为z′处向负载方向看过去的阻抗为输入阻抗,定义为该点的电压U(z')与电流I(z')之比,并用Zin表示。
(17)
1.8、史密斯圆图
史密斯圆图是以保角映射原理为基础的图解方法,通过史密斯圆图,可以让使用者迅速的得出在传输线上任意一点阻抗,电压反射系数,VSWR等数据,简单方便,所以在电磁波研究领域一直被广泛应用。虽然随着各种微波CAD软件的发展,已经很少进行手工计算,但在利用软件对射频电路进行设计和分析时掌握史密斯圆图的意义仍然十分重要。
2、微带传输线理论
微带传输线是50年代发展起来的一种微波传输线。与金属波导相比,它具有体积小、重量轻、使用频带宽、可集成化并能构成各种用途的微波元件等优点,但损耗稍大,Q值较低,功率容量小。微带线一般用薄膜工艺制造,介质基片选用介电常数高、微波损耗低的材料,常用的介质基片材料有氧化铝陶瓷、氧化铍、蓝宝石、铁氧体、聚四氟乙烯等。导体薄膜应具有导电率高、稳定性好、与基片的粘附性强等特点。
2.1、微带传输线的结构
微带传输线一般制作工艺是将基片研磨,抛光和清洗,然后将基片放在真空镀膜机中形成一层铬-金层,再利用光刻技术制作所需的电路,最后采用电镀方法使导体带和接地板达到所要求的厚度(3~5倍趋肤深度),并装上所需要的有源器件和其他元件形成微带电路。因此,微带传输线可以看作是由双导体传输线演变而来的双导体微波传输线,图2所示为微带传输线结构示意图。

图2 微带线的结构示意图
图2中,εr表示介质基片的有效介电常数,H表示介质基片的厚度,T表示导体薄膜的厚度。微带线为开放式双导体微波传输线,传输的主模是横电磁TEM(Transverse Electric and Magnetic)波。在微带传输线中,导体与接地板之间填充有介质基片,而其余部分为空气,导体周围的填充介质分别由媒质A(基片)和媒质B(空气)两种媒质组成。
任何模式的电磁场除了应满足介质与理想导体的边界条件外,还应满足介质与空气交界面的边界条件。单独的TEM模式不能满足微带线边界条件的要求,因此,在微带传输线中传输的电磁波的模式含有横电TE(Transverse Electric)模和横磁TM(Transverse Magnetic)模。
一般而言,基片的介电常数大于空气的介电常数,因此电场强度E在基片中的分布比较大,而且基片相对于外部空气媒质而言较薄,磁场强度H在基片中的分布也大于在空气媒质中的分布,所以从电磁场的分布角度看,微带传输线中传输的电磁波可以近似认为TEM模,或者说,在微带传输线中传输的电磁波为准TEM模。微带中的能量大部分集中在中心导体下面的介质基片中进行传播。
2.2、微带传输线的特征参数
微带线的特性阻抗和有效介电常数是设计微带谐振器、滤波器、天线等微波无源器件时需要首先确定的参数。
当微带线传输TEM波时,其特性阻抗可表示为
(18)
其中L1、C1分别为微带线单位长度的分布电感和分布电容,C0是空气全填充时单位长度分布电容。
求解C0和C1的问题是一个静态场的问题,其求解方法较多,常用的有保角变换法,谱域法,有限差分法和积分方程法。
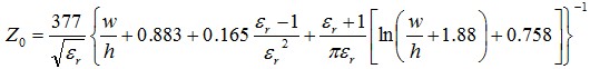
惠勒给出了Z0的近似计算公式:
当
时
(19)
当
时
(20)
哈梅斯泰德给出的近似计算公式具有较高的精确度,并且对宽带和窄带均适应,Pucel也给出了近似计算公式。
2.3、微带传输线的损耗
微带传输线损耗是在设计微波滤波器、双工器、谐振器等微波无源器件时需要特别考虑的问题。
从图2中可以看出,微带传输线是半开放式结构。微带传输线的损耗包括导体损耗、介质损耗、辐射损耗等。微带传输线是半开放式结构,辐射损耗是微带线向外辐射电磁波引起的能量衰减。
除硅和砷化镓等半导体基片外,大多数微带线上的导体损耗远大于介质损耗,在实际应用中,介质损耗一般可以忽略。
谐振器的无载品质因数Qu是一个反映谐振器本身能耗情况以及选频特性的重要参量。一般情况下,谐振器的Qu值越大,该谐振器的能耗越小,其频率选择性也越好。显然,利用MgB2超导薄膜制成的高Qu微带谐振器设计的带通滤波器可以有效降低通带损耗,同时通过增加谐振器的阶数可以提高微带滤波器的选频特性。
2.4、微带谐振器
在本论文中主要用到的是矩形微带谐振器,如图3所示。

图3 矩形微带谐振器修正模型
图3中lc是矩形谐振器的线长,Wc是矩形谐振器的线宽,h是矩形谐振器的介质层厚度,εr是矩形谐振腔等效相对介电常数。
两端开路的矩形微带线,通过适当的激励可以在导带和接地板之间产生电磁振荡,形成矩形谐振腔。上下导体片看作理想电壁,谐振器四周看成理想磁
