Re: An equation deduction question on T.H.Lee (1st edition)
时间:04-09
整理:3721RD
点击:
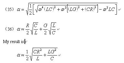
Chapter5, on Page 123,"The design of Cmos Radio Frequency Integrated Circuits", 1st Edition, T.H.Lee
How is the result (36) got from (35) ?
______________________________
/ ____________________
(35) α=√?[√(ω2LC)2+ω2(L2G2+R2C2) - ω2LC]
___ ___
(36) α≈?R√C/L +?G√L/C
I am so confused about it. My conclusion is like this:
____________
α≈?√CR2/L +LG2/C
Anybody can help calculate it ? Thanks a lot !
Added after 14 minutes:
sorry for the terrible format. I give the image of the above equations below:
How is the result (36) got from (35) ?
______________________________
/ ____________________
(35) α=√?[√(ω2LC)2+ω2(L2G2+R2C2) - ω2LC]
___ ___
(36) α≈?R√C/L +?G√L/C
I am so confused about it. My conclusion is like this:
____________
α≈?√CR2/L +LG2/C
Anybody can help calculate it ? Thanks a lot !
Added after 14 minutes:
sorry for the terrible format. I give the image of the above equations below:

