About the relation of reflection and ripple coefficient
时间:04-09
整理:3721RD
点击:
Hi,
I have a question about the relation between reflection coefficient and ripple coefficient in filter design in rf circuit.
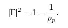
I have read two kind of relationship of them as shown by the following pictures.
Can anyone tell me which one is right?
And I want to where is the relationship from, and how to calculate it, for an example, when we want to get a -10dB reflection coefficient, we should make the ripple coefficient below -0.46dB, can anyone show me the process of this calculation and what unit should we take in calculation, dB or others, please?
Thank you!
Best regards!
I have a question about the relation between reflection coefficient and ripple coefficient in filter design in rf circuit.
I have read two kind of relationship of them as shown by the following pictures.
Can anyone tell me which one is right?
And I want to where is the relationship from, and how to calculate it, for an example, when we want to get a -10dB reflection coefficient, we should make the ripple coefficient below -0.46dB, can anyone show me the process of this calculation and what unit should we take in calculation, dB or others, please?
Thank you!
Best regards!


reflection relation coefficient 相关文章:
- Reflections when conjugately matched
- Measured and simulated reflection coefficient s11 comparison
- Ringing in reflection coefficient graph
- In which direction we need to go and read the reflection coefficient angles.
- Reflection Coefficient for unmatched condition
- Reflection Coefficient when conjugate matching
