请问大家 卷积码的生成多项式是不是有固定的格式呢?
时间:10-02
整理:3721RD
点击:
请问大家 卷积码的生成多项式是不是有固定的格式呢?
其他的不了解。
你做具体的通信协议,都规定好卷积码的
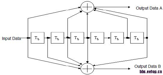
比如(2.1.7)这个的卷积码型
802.11协议里的(2,1,7)卷积码是这样的
其他的不了解。
谢谢!
请问卷积码的生成多项式书上都是查表得到的,有没有其他方法可以得到呢?谢谢
某卷积编码器有一路输入,两路输出。当输入为1010000…时两路卷积的输出分别是1000100…和1101100…。试画出该卷积码的状态转移图。
画卷积码的状态图需要已知卷积码的结构,也即需要这两路的生成多项式(冲激响应的多项式表达)。从题中可以看出,第一路的输出是1010000…+001010000…,因此第1路的生成多项式是101。同理可以得知第二路的生成多项式是111。因此这是一个[7,5]卷积码。
请问上述第1路、第2路生成多项式101、111是怎么得到的?谢谢
这个简单啊,
信息多项式M(D)=1+D^2;
第一路C1(D)=1+D^4,故G1(D)=C1(D)/M(D)=1+D^2;
第二路C2(D)=1+D+D^3+D^4,故G1(D)=C2(D)/M(D)=1+D+D^2;
故g=[1 0 1;1 1 1];故n=2,k=1,m=2,是(2,1,2)卷积啊
