序列检测问题
时间:10-02
整理:3721RD
点击:
要用状态机检测“11011001”至少需要多少个状态?
8个撒。1个idle,7个状态。
看你是想用mealy还是moore了
楼上的“看你是想用mealy还是moore了”,这个则么说能不能更详细点,我认为是八个。
shift register 接收下来加个相关窗就好了阿。还几个状态
good idea
6# layow
我也认为是8个
请高手指教为什么是8个呢,我一直不是很明白
给哥哥哥哥哥哥哥哥哥哥哥哥哥哥哥哥哥哥哥哥哥哥
1# wbh9527
小编能把题目说清楚点么?
什么叫做检测“11011001”?
不就是一个2进制数么,要检测到什么结果?
9# zhuifeng2007
输入串行输入,每进来一位检测,要检测到这个序列的话,当然需要8个状态了。
直到检测到8个,才说明检测到这样一个序列。
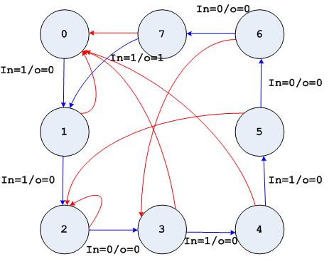
当然8个状态,要全部状态检测到才能说明是一个完整的序列嘛。见附图。蓝色线是正确的序列检测过程,红色线是当输入数据不满足时候的状态转换。
同意楼上所说
看错了,修改一下。顶13楼
不用状态机也可以做到
moore型状态机应该是9个状态
13# eagle.cracks
bad, you can have any state machine you want.
eeeeeeeeeeeeeeee
应该不只八个的~
同意,不用状态机也可以,shift reg就可以
学习了
学习下了
8个我觉得
