示波器响应方式对信号采集保真度的影响
1、脉冲响应原理
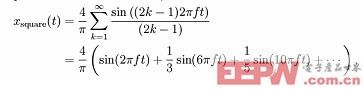
一个“完美”的方波脉冲包含了无数阶奇次正弦谐波分量的幅度,如公式1所示:

(公式1)
因此,我们可以认为测量系统采集脉冲信号的过程,也就是先采集其各个正弦谐波分量然后再合成脉冲的过程。现在测试测量设备包括数字示波器的前端输入带宽和模/数转换电路的带宽都是有限的(力科WaveMaster 830Zi拥有目前实时示波器的最高模拟带宽30GHz),也就决定了能采集到的谐波分量频率是有限的,下图1表示最高到21次谐波的频率成份叠加后的结果:

图1、21次正弦谐波分量叠加后的脉冲波形
一般来说,高速串行数据分析对仪器带宽的最低要求是能采集到信号基频的5次谐波,比如PCI Express 2.5Gbps数据率对应的时钟频率为1.25GHz,5次谐波则为6.25GHz,最低配置应为6GHz带宽示波器或串行数据分析仪(比如力科SDA 760Zi)。下图2为最高到5次正弦谐波合成后的脉冲结果.

图2、5次正弦谐波分量叠加后的脉冲波形
从以上可看出,信号采集的最高谐波分量不仅决定了方波脉冲的形状,而且影响了脉冲幅度和上升时间测量的结果,反应信号测量幅度与频率的对应关系称为”幅频响应”
由于示波器前端模拟部件呈现出低通滤波特性,对输入信号的不同频率成份的通过能力不一致,高频分量的幅度衰减率要大于低频分量衰减率,因此幅频响应曲线不是线性变换,而是呈滚降(RollOff)趋势,尤其对高于示波器-3dB带宽的频谱成份更是表现出急剧滚降特征。根据幅度响应曲线的不同滚降方式,目前业内主流高性能示波器主要提供两种响应类型,分别是平坦化响应(Flat Response)和贝塞尔响应(Bessel Response)
平坦化响应有两大优点。第一是信号在 -3dB带宽之前的幅频响应较为平坦,衰减较小,可进行非常精确的测量。第二是超过-3dB带宽后,频响曲线急剧下降,高频成份被有效截止(呈现出“砖墙”效应),通过的低频成分都能被后端ADC高保真采样,因而可大大减小数字示波器中的采样混叠机会,降低了波形失真度。平坦化响应示波器尽管有这些突出的优点,但也有非常显著的缺点:图1和图2的脉冲效果对比可看出,由于缺少更多的高频成份,5次谐波叠加的脉冲比21次谐波叠加的脉冲有更大的过冲和振铃。平坦响应截止了大量的高频谐波,因而表现出比较大的过冲和振铃现象,尤其是在信号上升时间很快,远远超过示波器可精确测量范围时,这种负面效应更为突出.
贝塞尔幅频响应对超过-3dB带宽的高频成分衰减速率相对较慢,因而表现出较小过冲和振铃的较好脉冲效应。但由于在-3dB带宽内对信号幅度响应相对来说不是很平坦,而且在-3dB带宽外会拖出一条较长的尾巴,这样使得后面的ADC需要更高的采样率才能确保不发生频率混叠现象。图3是贝塞尔响应和平坦响应对同一脉冲激励的形状对比,从中可以看出,平坦响应带来的过冲和振铃都相对较大。
图3、贝塞尔响应和平坦响应的对比
除了幅度响应外,与脉冲响应紧密相连的另外一个概念是相位频响。输入信号从数字示波器前端输入传递到屏幕显示之间,有很多模拟放大器构成一个放大器链,信号通过这些模拟器件需要一定的时间,或称为相位延迟(Delay)。不同频谱的信号在通过示波器内部通道时会产生不同的延迟,因而方波脉冲的不同谐波频谱的不同传播延迟会导致脉冲相位发生畸变,这种负面效应称为群延迟(Group Delay)。对于较低频率信号,群延迟的破坏性效应可以忽略不计,随着频率越高,这种负面效应是不可逃避的问题。群延迟会使示波器的实际上升时间比标称值更慢,而且会带来更大的抖动噪底。很显然,用户需要他购买的高性能示波器群延迟尽可能小,最好为零。 以力科SDA系列为代表的 高性能示波器普遍采用 DSP修正仪器的群延迟效应,根据不同的测试应用需要,主要有两种相位响应模型:第一个模型是线性相位(Linear Phase),第二个模型是最小相位(Minimum Phase)。
理想的线性相位概念源自群延迟概念。群延迟有时称为包络延迟,不应把它与相位延迟混淆。群延迟和相位延迟都与系统的相位相关,公式如下:
公式2 - 相位延迟
公式3 - 群延迟
相位延迟是正弦曲线在频率f上的时间延迟,它假设正弦曲线一直保持不变。群延迟是f周围一组窄频率的幅度包络。可以看到,在相位Φ(f)随着频率线性变化时,相位延迟和群延迟的解都是一个恒定的延迟。在相位与频率的关系非线性时,相位延迟和群延迟都不会对频率保持恒定。在经常遇到的带限系统中,群延迟在频段边沿附近上升,这意味着在其通过示波器通道 时,信号的高频成分一般会延迟。在阶跃响应中,这表现为较慢的上升时间和较高的过冲
- 用数字荧光示波器对开关电源功率损耗进行精确分析(11-04)
- 数字荧光示波器结构融合模拟示波器和数字示波器的优势(03-03)
- 秘密武器助你从容应对噪声检测难题(03-29)
- 使用采样示波器对PCB进行串扰分析(11-06)
- 具有可调触发灵敏度的示波器可有效提高电路检测质量(01-11)
- 在手持式示波表上捕捉间歇性信号(01-25)
