新一代移动通信的核心技术OFDM调制技术
时间:12-06
来源:互联网
点击:
1 OFDM的发展状况
OFDM的历史要追溯到20世纪60年代中期,当时R.w.Chang发表了关于带限信号多信道传输合成的论文。他描述了发送信息可同时经过一个线性带限信道而不受信道问干扰(ICI)和符号间干扰(。ISI)的原理。此后不久,Saltzberg完成了性能分析。他提出"设计一个有效并行系统的策略应该是集中在减少相邻信道的交叉干扰(crosstalk)而不是完成单个信道,因为前者的影响是决定性的。"
1970年,OFDM的专利发表,其基本思想就是通过采用允许子信道频谱重叠,但又相互间不影响的频分复用(FDM)的方法来并行传送数据,不仅无需高速均衡器,有很高的频谱利用率,而且有较强的抗脉冲噪声及多径衰落的能力。OFDM早期的应用有ANIGSC-1O(KATH-RYN)高频可变速率数传调制解调器(Modem)。该Mo-dem利用34路子信道并行传送34路低速数据,每个子信道采用相移键控(PSK)调制,且各子信道载波相互正交,间隔为84 Hz。但是在早期的OFDM系统中,发信机和相关接收机所需的副载波阵列是由正弦信号发生器产生的,且在相关接收时各副载波需要准确地同步,因此当子信道
数很大时,系统就显得非常复杂和昂贵。
对OFDM做主要贡献的是Weinstein和Ebert在1971年的论文,Weinstein和Ebert提出使用离散傅里叶变换(Discrete Fourier Transform,DFT),实现OFDM系统中的全部调制和解调功能的建议。因而简化了振荡器阵列以及相关接收机中本地载波之间的严格同步的问题,为实现OFDM的全数字化方案作了理论上的准备。用离散傅里叶变换(DFT)完成基带调制和解调,这项工作不是集中在单个信道,而是旨在引入消除子载波间干扰的处理方法。为了抗ISI和ICI,他们在时域的符号和升余弦窗之间用了保护时间,但在一个时间弥散信道上的子载波间不能保证良好的正交性。
另一个主要贡献是Peled和Ruiz在1980年的论文,他引入了循环前缀(Cyclic Prefix,CP)的概念,解决了正交性的问题。他们不用空保护间隔,而是用OFDM符号的循环扩展来填充,这可有效地模拟一个信道完成循环卷积,这意味着当CP大于信道的脉冲响应时就能保证子载波间的正交性,但有一个问题就是能量损失。
随着VLSI的迅速发展,已经出现了高速大阶数的FFT专用芯片及可用软件快速实现FFT的数字信号处理(DSP)的通用芯片,且价格低廉,使利用FFT来实现OFDM的技术成为可能。1981年Hirosaki用DFT完成的OFDM调制技术,试验成功了16QAM多路并行传送19.2 kb/s的电话线Modem。而在无线移动信道中,尽管存在着多径传播及多普勒频移所引起的频率选择性衰落和瑞利衰落,但OFDM调制还是能够减轻瑞利衰落的影响。这是因为在高速串行传送码元时,深衰落会导致邻近的一串码元被严重破坏,造成突发性误码。而与串行方式不同,OFDM能将高速串行码流转变成许多低速的码流进行并行传送,使得码元周期很长,即远大于深衰落的持续时间,因而当出现深衰落时,并行的码元只是轻微的受损,经过纠错就可以恢复。另外对于多径传播引起的码间串扰问题,其解决的方案是在码元间插入保护间隙,只要保护间隙大于最大的传播时延时间,码间串扰就可以完全避免。
正基于此,1984年,Cimini提出了一种适于无线信道传送数据的OFDM方案。其特点是调制器发送的子信道副载波调制的码型是方波,并在码元间插入了保护间隙。虽然各子信道的频谱为sin x/x形,但由于码元周期很长,单路子信道所占的频带很窄,因而位于信道频率边缘的子信道的拖尾,对整个信道带宽影响不大,可以避免多径传播引起的码间串扰。同时由于省去了升余弦滤波器,使实现的方案非常简单,因此后来的大多数OFDM方案都是以此为原形实现的。
20世纪90年代,OFDM的应用又涉及到了利用移动调频(FM)和单边带(SSB)信道进行高速数据通信、陆地移动通信、高速数字用户环路(HDSL)、非对称数字用户环路(ADSL)、超高速数字用户环路(VHDSL)、数字音频广播(DAB)及高清晰度数字电视(HDTV)和陆地广播等各种通信系统。1991年,Casas提出了OFDM/FM的方案,可利用现有的调频系统进行数据传输。
2 OFDM的基本原理
OFDM是一种高效的数据传输方式,其基本思想是在频域内将给定信道分成许多正交子信道,在每个子信道上使用一个子载波进行调制,并且各子载波并行传输。这样,尽管总的信道是非平坦的,具有频率选择性,但是每个子信道上进行的是窄带传输,信号带宽小于信道的相应带宽,因此就可以大大消除信号波形间的干扰。OFDM相对于一般的多载波传输的不同之处是他允许子载波频谱部分重叠,只要满足子载波问相互正交,则可以从混叠的子载波上分离出数据信号。由于OFDM允许子载波频谱混叠,其频谱效率大大提高,因而是一种高效的调制方式。
OFDM最简单的调制和解调结构如图1(a),图1(b)所示。为了表达简单,忽略了在通信系统中常用的滤波器。
OFDM最常用的低通等效信号形式可写为一组并行发射的调制载波,为:

其中:

及:

其中Cn,k是第n个信号间隔的第k个子载波的发射符号,每个周期Ts,N是OFDM子载波数,fk是第k个子载波的频率,f0是所用的最低频率。

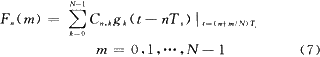
设Fn(t)为第n个OFDM帧,Ts是符号周期,则有:

因此Fn(t)对应于符号组Cn,k(k=O,1,…,N-1),每个都是在相应子载波fk上调制发送。
解调是基于载波gk(t)的正交性,即:

因此解调器将完成以下运算:

为了使一个OFDM系统实用化,可用DFT来完成调制和解调。通过对式(1)和式(4)的低通等效信号用采样速率为N倍的符号速率1/Ts进行采样,并假设f0=0(即该载波频率为最低子载波频率),则OFDM帧可表示为:

这样,利用前面的关系式,我们可得:

这样,对于一个固定乘性因子N,采样OFDM帧可通过离散傅里叶反变换(Inverse Discrete Fourier Trans-form,IDFT)来产生(调制过程),而原始的发送数据可通过离散傅里叶变换(DFT)恢复出来(解调功能)。图2给出基于FFT的OFDM通信系统。
OFDM的历史要追溯到20世纪60年代中期,当时R.w.Chang发表了关于带限信号多信道传输合成的论文。他描述了发送信息可同时经过一个线性带限信道而不受信道问干扰(ICI)和符号间干扰(。ISI)的原理。此后不久,Saltzberg完成了性能分析。他提出"设计一个有效并行系统的策略应该是集中在减少相邻信道的交叉干扰(crosstalk)而不是完成单个信道,因为前者的影响是决定性的。"
1970年,OFDM的专利发表,其基本思想就是通过采用允许子信道频谱重叠,但又相互间不影响的频分复用(FDM)的方法来并行传送数据,不仅无需高速均衡器,有很高的频谱利用率,而且有较强的抗脉冲噪声及多径衰落的能力。OFDM早期的应用有ANIGSC-1O(KATH-RYN)高频可变速率数传调制解调器(Modem)。该Mo-dem利用34路子信道并行传送34路低速数据,每个子信道采用相移键控(PSK)调制,且各子信道载波相互正交,间隔为84 Hz。但是在早期的OFDM系统中,发信机和相关接收机所需的副载波阵列是由正弦信号发生器产生的,且在相关接收时各副载波需要准确地同步,因此当子信道
数很大时,系统就显得非常复杂和昂贵。
对OFDM做主要贡献的是Weinstein和Ebert在1971年的论文,Weinstein和Ebert提出使用离散傅里叶变换(Discrete Fourier Transform,DFT),实现OFDM系统中的全部调制和解调功能的建议。因而简化了振荡器阵列以及相关接收机中本地载波之间的严格同步的问题,为实现OFDM的全数字化方案作了理论上的准备。用离散傅里叶变换(DFT)完成基带调制和解调,这项工作不是集中在单个信道,而是旨在引入消除子载波间干扰的处理方法。为了抗ISI和ICI,他们在时域的符号和升余弦窗之间用了保护时间,但在一个时间弥散信道上的子载波间不能保证良好的正交性。
另一个主要贡献是Peled和Ruiz在1980年的论文,他引入了循环前缀(Cyclic Prefix,CP)的概念,解决了正交性的问题。他们不用空保护间隔,而是用OFDM符号的循环扩展来填充,这可有效地模拟一个信道完成循环卷积,这意味着当CP大于信道的脉冲响应时就能保证子载波间的正交性,但有一个问题就是能量损失。
随着VLSI的迅速发展,已经出现了高速大阶数的FFT专用芯片及可用软件快速实现FFT的数字信号处理(DSP)的通用芯片,且价格低廉,使利用FFT来实现OFDM的技术成为可能。1981年Hirosaki用DFT完成的OFDM调制技术,试验成功了16QAM多路并行传送19.2 kb/s的电话线Modem。而在无线移动信道中,尽管存在着多径传播及多普勒频移所引起的频率选择性衰落和瑞利衰落,但OFDM调制还是能够减轻瑞利衰落的影响。这是因为在高速串行传送码元时,深衰落会导致邻近的一串码元被严重破坏,造成突发性误码。而与串行方式不同,OFDM能将高速串行码流转变成许多低速的码流进行并行传送,使得码元周期很长,即远大于深衰落的持续时间,因而当出现深衰落时,并行的码元只是轻微的受损,经过纠错就可以恢复。另外对于多径传播引起的码间串扰问题,其解决的方案是在码元间插入保护间隙,只要保护间隙大于最大的传播时延时间,码间串扰就可以完全避免。
正基于此,1984年,Cimini提出了一种适于无线信道传送数据的OFDM方案。其特点是调制器发送的子信道副载波调制的码型是方波,并在码元间插入了保护间隙。虽然各子信道的频谱为sin x/x形,但由于码元周期很长,单路子信道所占的频带很窄,因而位于信道频率边缘的子信道的拖尾,对整个信道带宽影响不大,可以避免多径传播引起的码间串扰。同时由于省去了升余弦滤波器,使实现的方案非常简单,因此后来的大多数OFDM方案都是以此为原形实现的。
20世纪90年代,OFDM的应用又涉及到了利用移动调频(FM)和单边带(SSB)信道进行高速数据通信、陆地移动通信、高速数字用户环路(HDSL)、非对称数字用户环路(ADSL)、超高速数字用户环路(VHDSL)、数字音频广播(DAB)及高清晰度数字电视(HDTV)和陆地广播等各种通信系统。1991年,Casas提出了OFDM/FM的方案,可利用现有的调频系统进行数据传输。
2 OFDM的基本原理
OFDM是一种高效的数据传输方式,其基本思想是在频域内将给定信道分成许多正交子信道,在每个子信道上使用一个子载波进行调制,并且各子载波并行传输。这样,尽管总的信道是非平坦的,具有频率选择性,但是每个子信道上进行的是窄带传输,信号带宽小于信道的相应带宽,因此就可以大大消除信号波形间的干扰。OFDM相对于一般的多载波传输的不同之处是他允许子载波频谱部分重叠,只要满足子载波问相互正交,则可以从混叠的子载波上分离出数据信号。由于OFDM允许子载波频谱混叠,其频谱效率大大提高,因而是一种高效的调制方式。
OFDM最简单的调制和解调结构如图1(a),图1(b)所示。为了表达简单,忽略了在通信系统中常用的滤波器。
OFDM最常用的低通等效信号形式可写为一组并行发射的调制载波,为:

其中:

及:

其中Cn,k是第n个信号间隔的第k个子载波的发射符号,每个周期Ts,N是OFDM子载波数,fk是第k个子载波的频率,f0是所用的最低频率。

设Fn(t)为第n个OFDM帧,Ts是符号周期,则有:

因此Fn(t)对应于符号组Cn,k(k=O,1,…,N-1),每个都是在相应子载波fk上调制发送。
解调是基于载波gk(t)的正交性,即:

因此解调器将完成以下运算:

为了使一个OFDM系统实用化,可用DFT来完成调制和解调。通过对式(1)和式(4)的低通等效信号用采样速率为N倍的符号速率1/Ts进行采样,并假设f0=0(即该载波频率为最低子载波频率),则OFDM帧可表示为:

这样,利用前面的关系式,我们可得:

这样,对于一个固定乘性因子N,采样OFDM帧可通过离散傅里叶反变换(Inverse Discrete Fourier Trans-form,IDFT)来产生(调制过程),而原始的发送数据可通过离散傅里叶变换(DFT)恢复出来(解调功能)。图2给出基于FFT的OFDM通信系统。
信号发生器 振荡器 DSP 滤波器 数字电视 放大器 仿真 相关文章:
- 感应无线位置检测系统设计与实现(06-26)
- RF WCDMA 基准比较测试白皮书(05-25)
- 3G MIMO技术的实现挑战与解决方案(06-02)
- 基于简化HDLC规程的通信卡及驱动程序设计(02-12)
- 3GPP LTE的预编码和空间多路复用MIMO技术(09-23)
- 超高频RFID读写器射频前端设计与仿真(03-24)
