How can I choose Γs and Γ l in a amp
时间:04-09
整理:3721RD
点击:
How can I choose Γs and Γ l in a amp
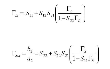
Hi!If I have choosen a Γ L ,So I can calculated the Γ IN,If I want to make min SWR matching with the Input Port so I must choose the Γ S equ Conj of Γ IN right?So I can makesure the Γ S,so I can calculat the Γ OUT,If I want min SWR matching with the Output port,so I need change the Γ L to conj of Γ OUT.So Γ IN have changed,Γ S will Change for min SWR matching,Gamma OUT will change by the Γ S'change ......?
Hi!If I have choosen a Γ L ,So I can calculated the Γ IN,If I want to make min SWR matching with the Input Port so I must choose the Γ S equ Conj of Γ IN right?So I can makesure the Γ S,so I can calculat the Γ OUT,If I want min SWR matching with the Output port,so I need change the Γ L to conj of Γ OUT.So Γ IN have changed,Γ S will Change for min SWR matching,Gamma OUT will change by the Γ S'change ......?

- How do you choose input power while doing loadpull?
- How to choose impedance from s2p file to design power divider
- How to choose the right capacitor?
- How to choose the substrate's thickness for a 9.35Ghz application
- How to choose Toroid core for Common Mode Chokes
- How to choose Driver and Power amp in RF Transmitter part.
