What means by a1,b1 in S-Parameter?

Hello CQCQ,
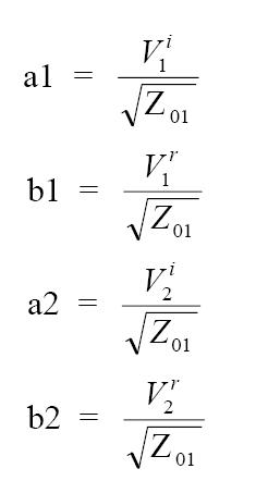
a1,a2 are incident voltages and b1,b2 are reflected voltages, each being normalized by √Zo.
Samy
Voltage or Power: It doesn't matter (Both, you can pick) because you divide
a1 by b1 (a1/b1) and they become unit less.
In Microwave/RF we always use 50 ohm for Zo So :
P=V^2/Zo ; or just use the V, and if you use the V you need to keep the √ of Zo !
Also note that (P1=V1^2/Zo & P2=V2^2/Zo)
P1/P2 => ([V1/V2]^2)/[Zo/Zo]
And a1 is the EM wave going in to the port/plane and b1 is the EM
wave coming back from the same port/plane. So once you integrate the
impedance that the EM wave passes you get power.
Hope this helps
hello CQCQ,
can you post the matlab code of the extraction of S-parameter from FDTD
