How to calculate EVM from IQ phase imbalance?
时间:04-08
整理:3721RD
点击:
How to calculate EVM from IQ phase imbalance?
From the IQ plan :

From the IQ plan :

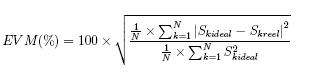
You can find the effect of I/Q mismatch on EVM in the attached figure
Thanks! Per my understanding, g is the gain imbalance, phi is the phase imbalance, but what about alphaI and alphaQ? What values should I put in my MATLAB code to generate the same plot? Thanks!
