question ablout noise calculation
时间:04-07
整理:3721RD
点击:
According to the book ?Design of Analog CMOS Integrated Circuits?(Razavi), for a two port network, the internal noise can be presented by source of voltage in series with the input and a source of current in parallel with the input.
(1)When calculating the equivalent input noise voltage, we short the input, calculate the output noise voltage, and finally get the equivalent input noise voltage.
(2)When calculating the equivalent input noise current , we open the input, calculate the output noise voltage, and finally get the equivalent input noise current .
Methods (1) and (2) all calculate the output noise voltage. In some case, the output noise voltage in (1) and (2) are different, because usually the equivalent input noise voltage and current are correlated. So when we calculate the total output noise voltage, we have to use superposition of voltage instead of superposition of power.
In many papers and books, when calculating the total output noise voltage, all the authors consider
the source impedance Zs. Here are two examples, but reach two different results. So I am confused.
I don't know how to write the related formulas, so I can only give some conclusion. The detail is attached. THank you for helping me~
Example1: the common source circuit
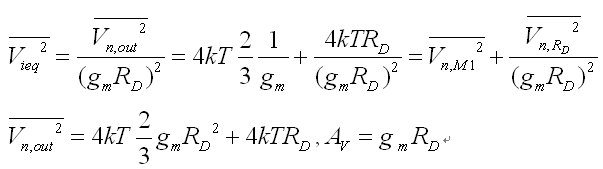
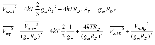
When considering the the equivalent input noise voltage
When considering the equivalent input noise current
clearly the equivalent input noise voltage and the equivalent input noise current are correlated.
Now calculate the total output noise voltage
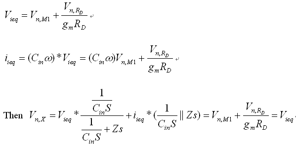
First the equivalent input noise voltage and the equivalent input noise current can be rewritten as:
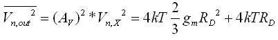
I get the total output noise
We can see the total output noise voltage is independent of the source impedance Zs. That makes sense, because output noise is only related to the circuit itself, not related to the source impedance, Zs.
Example2: the common gate circuit:
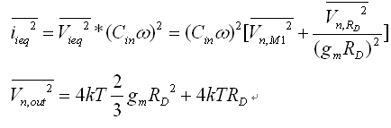
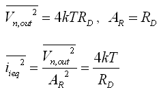
When considering the equivalent input noise voltage
When considering the equivalent input noise current
clearly the equivalent input noise voltage and the equivalent input noise current are also correlated.
Now calculate the total output noise voltage
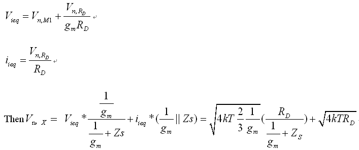
First the equivalent input noise voltage and the equivalent input noise current can be rewritten as:
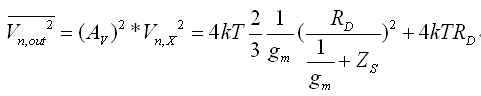
Finally
We can see the total output noise voltage is dependent of ZS. This is different to common source circuit.
Why? I think the output noise voltage is only related to the circuit itself, no related to source impedance ZS.
If ZS=0, then the total output noise voltage is the same to the output noise voltage only considering the input noise voltage.
When calculating the total output noise voltage, is it necessary to add the source impedance Zs into the circuit?
Is my method wrong?
How do you think, everyone?
(1)When calculating the equivalent input noise voltage, we short the input, calculate the output noise voltage, and finally get the equivalent input noise voltage.
(2)When calculating the equivalent input noise current , we open the input, calculate the output noise voltage, and finally get the equivalent input noise current .
Methods (1) and (2) all calculate the output noise voltage. In some case, the output noise voltage in (1) and (2) are different, because usually the equivalent input noise voltage and current are correlated. So when we calculate the total output noise voltage, we have to use superposition of voltage instead of superposition of power.
In many papers and books, when calculating the total output noise voltage, all the authors consider
the source impedance Zs. Here are two examples, but reach two different results. So I am confused.
I don't know how to write the related formulas, so I can only give some conclusion. The detail is attached. THank you for helping me~
Example1: the common source circuit

When considering the the equivalent input noise voltage

When considering the equivalent input noise current

clearly the equivalent input noise voltage and the equivalent input noise current are correlated.
Now calculate the total output noise voltage
First the equivalent input noise voltage and the equivalent input noise current can be rewritten as:

I get the total output noise

We can see the total output noise voltage is independent of the source impedance Zs. That makes sense, because output noise is only related to the circuit itself, not related to the source impedance, Zs.
Example2: the common gate circuit:

When considering the equivalent input noise voltage

When considering the equivalent input noise current

clearly the equivalent input noise voltage and the equivalent input noise current are also correlated.
Now calculate the total output noise voltage
First the equivalent input noise voltage and the equivalent input noise current can be rewritten as:

Finally

We can see the total output noise voltage is dependent of ZS. This is different to common source circuit.
Why? I think the output noise voltage is only related to the circuit itself, no related to source impedance ZS.
If ZS=0, then the total output noise voltage is the same to the output noise voltage only considering the input noise voltage.
When calculating the total output noise voltage, is it necessary to add the source impedance Zs into the circuit?
Is my method wrong?
How do you think, everyone?
