SI-list表面粗糙度详解(四)Which roughness model is better?
SI-list【中国】表面粗糙度详解(四)Which roughness model is better?
2016-05-11 SI-list【中国】shark4685
本文大纲
1. 表面粗糙度( surface roughness)介绍.
2. 表面粗糙度Model的建立.
3. 表面粗糙度( surface roughness)的仿真.
4.仿真与测试的比对,Which roughness model is better?
关与Suface roughness
铜箔表面粗糙度是指铜箔表面具有的较小间距和微小峰谷的不平度。铜箔表面粗糙度越小,则表面越光滑,反之相反。表面粗糙度与机械零件的配合性质、耐磨性、疲劳强度、接触刚度、振动和噪声等有密切关系。表面粗糙度起因于材料加工过程

Which roughness model is better?
1.Which roughness model is better?
A1:Hammerstad与Huray model的效果差不多,而roughnessmodel的参数都是透过量测S parameter correlation后fitting出来的。
A2:(Classic)Hammerstad只适用于粗糙度HRMS<2um,而Huraymodel无此限制,简言之,Groisse或Hammerstad model仅限于光滑表面使用,而一般制程与SI(宽带)应用,则用Huray model。另外Hammerstadmodel在较高频时(30G~),K曲线斜率会变缓(渐渐饱和)。
下面这张图则是说明只要适当的参数配置,两种model(对于较光滑的表面)可以达到非常接近的效果

上图从0~60GHz,两种model的效果都很接近的主因是:请注意左边坐标轴K系数<1.5,这表示此例属于low profile roughness
2. Howto simulate the resonance absorption peak at 35GHz?
A:Itis caused from glassweaver effect.

3.Measurement v.s. Simulation

Huray Model需要定义颗粒大小a (nodule radius),与单位面积颗粒数目N/Af (InSIwave, Huray Surface Ratio=4*pi*a2*N/Af)
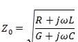
4.Why does characteristic impedance Zo increase to infinity while frequency decreases to zero
A:特征阻抗
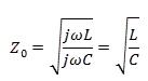
高频时 
低频时
-----全文完-----
关于SI-list【中国】微信群
本群专注于:高速链路设计,信号完整性,电源完整性仿真,测试,验证相关技术交流,经验分享,解疑答惑,如方便,可把单位,研究方向在群名称表示出,方便大家交流合作,如果消息太多设置为免打扰模式,不便的可退群。

注明加SI-list【中国】微信群.
