Wi-Fi产品射频电路调试经验谈
功率因数(Power Factor,缩写:PF)--对于一个理想的电容器,交变的电流在相位上会落后与电压90°,但是在实际的电容器中,由于Rs与Rp的存在这个相位ø会小于90°,因此,PF=cosø,功率因数是很多因素共同作用的结果,如温度,频率,电介质的材料等。
等效串联电阻(Effective Senies Resistance,ESR)--这个电阻是Rs、Rp以及电容的交流阻抗的结合,定义为
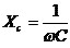
耗散因数(Dissipation Factor,DF)--耗散因数是交流阻抗与电容的电抗的比值,即
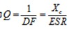
Q--Q值是射频电路设计中一个极为重要的参数,一个元件的Q值也很重要,电容的Q值定义为
。很明显,Q值越大,电容的质量越好。
图2-4定性的给出了电容在不同频率下的表现出的电抗特性。图中的纵轴为插入损耗(Insertion Loss),也就是由于电容的加入引起的损耗。

图2-4 电容在不同频率下的电抗特性
显然,在转折之前,电容表现出的是电容的特性,转折之后,电容表现出来的却是电感的特性。一般来说,大容量的电容会比小容量的电容表现出更多的电感特性。因此,在250MHz的频率下,一个0.1uF的旁路电容不一定比100pF的电容效果更好。换句话说,容抗的经典公式

似乎说明当频率一定时,电容的容量越大,容抗越小。但是在微波率下,结论是相反的。在微波频率下,一个0.1uF的电容会表现出比100pF电容更大的阻抗,这也是我们在设计电源电路时为什么要在大容量的电解电容两端并联小容量的电容的原因,这些小容量的电容用于消除高频的噪声信号。
2.3.2、电容的容量与温度特性
在CIS库中选料时,我们总会发现电容有一项参数为X7R或者X5R,NPO等,我特此搜寻相关资料,翻译过来,写在这一节中。
这类参数描述了电容采用的电介质材料类别,温度特性以及误差等参数,不同的值也对应着一定的电容容量的范围。具体来说,就是:
X7R常用于容量为3300pF~0.33uF的电容,这类电容适用于滤波,耦合等场合,电介质常数比较大,当温度从0°C变化为70°C时,电容容量的变化为±15%;
Y5P与Y5V常用于容量为150pF~2nF的电容,温度范围比较宽,随着温度变化,电容容量变化范围为±10%或者+22%/-82%。
对于其他的编码与温度特性的关系,大家可以参考表2-1。例如,X5R的意思就是该电容的正常工作温度为-55°C~+85°C,对应的电容容量变化为±15%。
表2-1 电容的温度与容量误差编码

2.4.1、电感的等效电路
不难想象,导线的本身存在一定的电阻,相邻量个线圈之前存在一定的电容,于是,我们得到如图2-5所示的电感的等效电路。其中Rs为导线存在的电阻,L为电感自身的感值,C是等效电容。电感的电感量-频率曲线与电阻的阻抗-频率曲线颇有些相似,这与它们具有类似的等效电路有直接关系。读者可自行分析电感的频率特性曲线。

图2-5 电感的等效电路
2.4.2、电感的Q值
电感的感抗与串联电阻Rs的比值称为电感的Q值,即Q=X/Rs与电容类似,Q值越大,则电感的质量越好。如果电感是一个理想电感,那么Q值应该是无限大,但是实际中不存在理想的电感,所以Q值无限大的电感是不存在的。
在低频情况下,电感的Q值非常大,因为这个时候Rs只是导线的直流电阻,这是一个很小的值。当频率升高时,电感的感抗X会变大,所以电感的Q值会随着频率的提高而增大(这个时候趋肤效应还不明显);但是,当频率提高到一定的程度的时候,趋肤效应就不可忽视了,这时串联电阻Rs会随着频率的提高而变大,同时串联电容C也开始发挥作用,从而导致Q值随着频率的提高而降低。图2-6给出了某公司的一款电感的Q值与频率的关系。

图2-6 某公司的电感的Q值与频率变化关系曲线
为了尽量增大电感的Q值,在制作电感时,我们通常可以采用以下的几种方法:
使用直径较大的导线,可以降低电感的直流阻抗;
将电感的线圈拉开,可以降低线圈之间的分布电容;
增大电感的磁导系数,这通常用磁芯来实现,如铁氧体磁芯。
其实,电感的手工制作,是射频工程师的必修课,但是这部分内容比较复杂,本文暂不进行讨论,感兴趣的读者可以查阅相关文献。
3、RF Debug经验分享
3.1、某无线AP 2.4GHz Chain0 无输出功率
在一次对某无线AP(双频大功率11n无线AP)的测试过程中,突然听到一声清脆悦耳的破裂声,随后看到一缕青烟缓缓的从板子上升起(可惜没看清具体是哪个位置),周围便迅速充满了令人不爽的焦臭味,VSA(Vector Signal Analyzer,矢量信号分析仪)上的功率也跌落至0dBm以下。稍微有点经验的人都可以得出一个结论:"有东西烧掉了"。
没有输出功率,可想而知,一定是Tx回路的某个器
- WiFi收发器的电源和接地设计(07-14)
- 一种简单易用的OOK调制方案介绍(07-15)
- WiFi产品的一般射频电路设计(08-11)
- 移动终端中三类射频电路的发展趋势(09-03)
- 提高射频电路集成度应对多模手机设计挑战(04-06)
- 射频电感选用技巧(10-06)
