采用原边反馈的LED驱动设计
LED驱动电源目前正朝着高功率因数、高输出电流精度、高效率、高可靠性和低成本、小尺寸方向发展,因此,带PFC(功率因数校正)的原边电流反馈准谐振技术方案已渐渐成为市场主流。现有的照明用LED驱动电源目前标准仍有待统一,但PFC在全电压范围内做到0.95以上、输出电流精度做到±3%以内、效率做到90%以上、启动时间在0.5s以内、输出电压纹波小于5%等,已经成为一些业内领先的芯片供应商设置的技术竞争门槛。
要达到上述这些要求,市场必然要求有一款功能全面、性能优异的芯片,同时,这也对系统设计者提出了更高的要求。本文从芯片和系统两个层面,详细分析了影响上述性能的原因和提高各项性能的手段,并给出了实验波形和数据。无论对于LED驱动芯片设计者还是系统设计者而言,都具有一定的参考意义。
基本原理
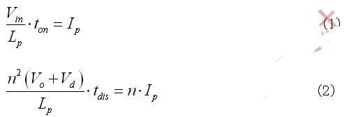
LED驱动电源功率较小,器件的应力裕度较大,加之其对尺寸有严格要求,需采用尽可能小的原边电感量,因此,它一般采用DCM峰值电流控制PFC的方式。其原、副边的电流方程为:

式中:n=Np/ Ns为原副边匝比;IP为原边峰值电流。
由公式(1)可知,要使输入电流峰值IP跟随输入电压Vm做正弦变化,只要让ton在一个正弦半波时间内保持恒定就能做到。另一方面,如果采用乘法器方案,强制让IP跟随Vm变化,则ton必然在一个正弦半波周期内保持恒定。前者称之为固定导通时间PFC方案。其优点是可以节省Vins的采样电阻,节省芯片管脚,提高系统效率。但由于实现PFC是靠DCM和原边起始电流为0这两个先决条件保证的,所以在CCM或非准谐振模式工作的系统中应用受限。后者称之为乘法器PFC方案。其优点是不受工作模式及原边电流起始值的影响,只需考虑最后的电流峰值是否跟踪输入电压。这是一种更为直接的控制,能够得到更高的PF值。但这同时也增加了芯片设计者的设计难度,需要保证乘法器的宽广线性度和THD等指标,并且也增加了芯片面积。PT4209为了得到更好的系统性能,采用了乘法器PFC方案。
表2:PF值。

为了节省副边反馈网络和光耦等元件,在小功率应用场合,一般电路采用PSR(原边反馈)控制方式。该法适用于对输出精度、输入调整率、负载调整率要求不高,负载不会突然变化的场合,并且该法在输入突变时也加快了系统的保护。LED驱动电源正好满足上面的应用条件。其副边电流反馈公式为:

表1:输入电压调整率及负载调整率。

芯片采样Vcs和tdis/T两个信号,再将两个信号相乘和Vref相比较;两者的差值经过一个跨导放大器(gm)和Ccomp电容滤波,再将滤波的结果和Vin的采样结果Vins一起送入到乘法器相乘;乘法器输出即为Vcs的给定信号,芯片以此来控制开关管的关断。其芯片内部的逻辑框图如图1所示。

图1:PT4209内部的逻辑框图。
在开关管关断后,为了最大限度减小开关损耗,希望在Vds最小时打开开关管。这就要求芯片有谷底检测的功能,即所谓的准谐振控制。其谐振周期由变压器原边电感Lp与MOS管输出电容Cd (或称Coss)共同决定,公式为:

系统参数及原理图
PT4209的功率应用范围为5W~30W。以一款应用于PAR38灯具的16W驱动电源为例,系统的性能参数如下:输入电压85V~264V;输出电压3.2V*16=51.2V(16个LED串联);输出电流320mA;变压器骨架选择PQ2016,原边电感量选0.65mH,保证在264V高压输入下,最高开关频率小于150kHz。系统原理图如图2所示。

图2:16W PAR38灯具电路原理图。
PF值的影响因素及提高手段
系统PF值的高低,主要与输入电流和输入电压的相角差和输入电流的THD两个因素有关。计算公式为:

其中:V1、I1为基波有效值;Vin、Iin为总的有效值。

其中:Ik为k次谐波的有效值。
故

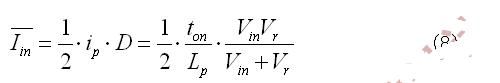
首先,芯片控制的是输入峰值电流的正弦化,而PF计算的是平均电流的正弦化,这里相差一个占空比D。公式为:

其中:ton、Lp、Vr在一个周期内恒定,所以

并不是一个正弦,而是一个削顶的准正弦波形。这势必会影响一些PF值,这也就是峰值电流控制的芯片PF值始终不能达到1的根本原因。
接下来,由上面的逻辑框图可知,要保证乘法器的输出是一个良好的正弦波形,这个和三个因素有关:第一是Vcomp电容要足够大,才能滤去100Hz的工频纹波。但该电容也不能选择过大,否则会使得上电后抽取过多Vcs电容的能量而导致UVLO出现。选择过小,则会出现输入电流波形向前偏的现象,且该现象因为输入电压的升高而日趋严重。因为Vcomp上纹波大小不变,但稳态值变小,相应纹波所占比例越大。第二是整流桥后端电容Cin要足够小,才能保证良好的正弦波形。此外,电容过大的话,电容
- 高效率PFC电路二极管选择方案(01-24)
- 什么是PFC电路?(11-03)
- 采用开关器件提高PFC效率(06-23)
- 飞兆半导体交错式临界导通PFC控制器为绿色电源提供超过96%的效率(01-20)
- 如何实现高功率密度的工业电源(05-10)
- 无源无损软开关功率因数校正电路的研制(07-03)
