高精度MOSFET设计技巧
![]() | (9) 类似地,做优化裸片面积可由下式表示:
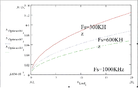
这是因为在5V电压时占空比会增加,而我们需要较小的RDSON,因此,获得较大的裸片面积以减小传导损耗。因为开关电压越小,开关损耗也成比例地越小,因此,我们我们能够容忍存在某种程度上较大的Qgd和较大的裸片面积。 如下图3所示,是在不同输入电压的情况下最优化裸片面积和开关频率之间的关系。显然,在动态损耗和传导损耗之间我们需要采取不同的混合,并且在高开关频率下动态或开关损耗其支配作用,因此,迫使把裸片面积做得非常小。 这些依赖性在某种程度上不同于我们考虑同步整流器的时候,因为跨越它的电压是单只二极管的压降,无论是体二极管或是肖特基二极管,在此,动态损耗比顶部MOSFET要小得多。 这意味着传导损耗在这种情况下占支配地位,在此,即使以较大的Qgd为代价,也需要较大的裸片面积和相关的小RDSON值。如图4所示,最优化裸片面积是顶部MOSFET在不同输入电压条件下负载电流的函数。尽管开关损耗在整个损耗图中发挥的作用较小,在此,仍然要以牺牲RDSON指标为代价,进一步减小裸片面积来实现更低的Qgd。 如图5所示,功耗是裸片面积的函数,周围是针对输入电压为5到12V的顶部MOSFET的最合适值。这清楚地表面,损耗高度依赖于裸片面积以及如果裸片面积增加或减少时这些损耗所增加或减小的剧烈程度。 显然,我的观点是:这些方程从为任务指定最优化MOSFET的任务中获得推断,并让我们把工作重心放在开发满足未来几年需求的新的制造工艺的任务之上。
|
MOSFET 相关文章:
- 如何设计一个合适的系统电源(上)(11-20)
- 什么是MOSFET(11-26)
- 包含热模型的新型MOSFET PSPICE模型 (11-26)
- 用IGBT代替MOSFET的可行性分析(11-27)
- MOSFET的谐极驱动(11-27)
- 扩展升压稳压器输入、输出电压范围的级联 MOSFET (11-30)






