由单一输入电压实现分离供电轨的改进拓扑结构(二)
标签:模拟 电子 IT 电路
小信号分析和环路补偿
SEPIC-C'uk转换器的完整小信号分析超出了本文的范围,不过,利用本应用笔记提供的方程式,设计人员应能正确补偿其设计。ADP161x SEPIC-C'uk设计工具使用的模型更完整、更精确,但也复杂得多。所示的方程式适用于SEPIC-C'uk中的ADP161x器件,对ADI公司或其他公司制造的其他器件而言可能不够精确。
只要满足几项设计要求,则SEPIC-C'uk的小信号模型看起来与不带C'uk的SEPIC转换器非常相似。假设SEPIC-C'uk供电轨使用的电感相同,这一要求是有道理的,因为两个输出是针对同一电压和电流而设计。
C'uk和Middlebrook的论文(参见参考文献部分)表明:无论是小信号还是大信号,耦合电感的行为都与具有两倍的单绕组电感值、无SEPIC或C'uk谐振的电感相似。因此,本应用笔记的分析使用有效电感值,即耦合电感数据手册提供的单绕组电感值的两倍。分析假设使用相同的阻性负载,不过,转换器在较大的负载不平衡下仍能保持稳定。两个传输电容(C1和C2)的值应几乎相同,但C2略大于C1.假设这些电容为陶瓷电容,因此在计算有效电容时,设计人员需要考虑其直流偏置值的不同。
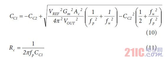
补偿SEPIC C'uk的第一步是选择可实现的目标交越频率。像大多数升压和降压/升压拓扑结构一样,SEPIC-C'uk具有一个右半平面零点(RHP),它依据方程式7确定。RHP具有双重作用,既能像零点一样提高增益,也能像极点一样减除相位。因此,必须用最大为RHP频率(fRHP)五分之一的频率来补偿转换器的交越频率。
SEPIC-C'uk还有一个谐振,它由泄漏电感(Llkg)和传输电容(C1)引起,发生于Fres.该谐振一般会被电感的DCR很好地消除,但可能引起较大的相位延迟,因此,交越频率应不超出其十分之一。此外,由于使用一个采用标准Type II补偿的电流模式控制器,因此最大可实现的交越频率约为开关频率的十分之一。所以,目标fu应为这三种约束条件下的最小值,如方程式9所示。


图8. 功率级和补偿器件框图
图8中的补偿值可以按照下式计算。由于假设使用陶瓷输出电容,因而可以将CC2选为10 pf。

其中:
fp为电流模式转换器的主要极点,通过一些校正因数来处理斜坡补偿和有限电流增益。

Ac为开环转换器增益在交越频率fu时的幅度。

Mc和Fm是Ridley关于电流模式控制的论文(参见参考文献部分)中导出的项。

Vramp和Acs是芯片内的固定常数。

功率器件选型要点
电感中的30%纹波一般会产生合理的值(见方程式19),这是通常情况。然而,当降压比较大时,将输入电感中的纹波百分比提高到50%或60%可能更佳。

FET开关Q1、两个二极管开关Q2和Q3中的电流如图9所示。图9同时给出了开关电流的直流成分。注意,Q1承载用于SEPIC和C'uk两个供电轨的电流。峰值电流取决于方程式19中选择的纹波。

图9. SEPIC-C'uk理想波形
主开关Q1中的开关损耗计算超出了本应用笔记的范围。注意,在许多情况下,开关损耗可能相当大,因为开关得到的电压摆幅很大(~VIN + VOUT),而且电流也很大(参见图9)。
ADP1612/ADP1613通过高速开关来降低这一损耗。所选FET的额定耐压值至少应为VIN + VOUT,良好的设计应当为杂散电感引起的开关节点响铃振荡,以及导通电阻损耗和开关损耗引起的热应力留有余量。
SEPIC(正)输出的峰峰值输出电压纹波(ΔVripple SEPIC)可通过下式近似计算:

流经电容的电流值(I RMS Cout SEPIC)为:

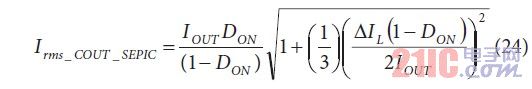
C'uk(负)输出的峰峰值输出电压纹波(Δ Vripple C'uk)可通过下式近似计算:

流入C'uk(负)输出(Δ Vrip C'uk)上COUT的电流均方根值可通过下式近似计算:

C1和C2上的纹波应当约为VIN的5%.如上文所述,尽管其直流电压不同,但这些电容应具有相近的值。

选择C1和C2时,由于流经其中的电流相当大,必须考虑电流均方根额定值。

Q2和Q3一般是二极管,因此选择器件时需要考虑多个事项。V ds max的额定值至少应为VIN + VOUT.连续电流至少应为所见峰值电流的1/3.值得注意的是,由于两个电源的输出电压纹波之间的相位关系,SEPIC二极管实际上会在一定的时间内接收到全部开关电流,之后电流才实现更平均的分配。不过,正如预期的那样,流过两个二极管的平均电流相同,均为IOUT.此外,在应用的热环境下,封装必须能够处理IOUT.

输出滤波器
SEPIC-C'uk作为双轨转换器通常用于模拟电源,往往要求输出纹波极低。只需使用陶瓷输出电容,一般就能在C'uk(负)输出轨上轻松实现低输出纹波(低至1 mV),因为输出电流是连续的,像降压转换器的输出电流一样。
在SEPIC(正)轨上,输出电流是断续的,像降压转换器的输入电流一样,这导致流入输出电容的电流发
- 高效率和超宽输入电压范围DC-DC变换器的方案设计(01-22)
- 运放中“轨至轨”运行真正含义是什么?(11-26)
- 同时提供方波和平方根两种输入电压的电路(01-06)
- 由单一输入电压实现分离供电轨的改进拓扑结构(二(09-21)
- 语音分离器和分离器板的发展与应用(03-17)
- 基于积分分离PID控制的交流伺服系统(01-31)
