三种技术帮助高频亥姆霍兹线圈产生强磁场
50波形放大器驱动一对亥姆霍兹线圈。

图6:用波形放大器直接驱动一对串联亥姆霍兹线圈的电路图。

I是峰值电流
ω是角频率,ω=2πf
L1+L2是总的电感,
R1+R2是总的电阻。
可以使用公式1计算获得目标磁场所需的线圈电流。然后使用公式2计算所需的最大电压。注意要忽略小的寄生电阻。最大电压出现在电流和频率同时达到最大值之时。接着就可以用大电流与高频率放大驱动器(比如TS250函数发生放大器)驱动亥姆霍兹线圈。
串联谐振法
如果产生的磁场是高频的,亥姆霍兹线圈阻抗将随频率的提高而增加(Z = jwL)。在高频时,线圈阻抗会很高,因此需要高电压驱动大电流流过线圈。举例来说,在200kHz时一个2mH的线圈阻抗是2512Ω。如果用40V来驱动这个线圈,你将得到约16mA(40V/2512Ω= 16mA)的电流。对大多数应用来说,这个电流不足以产生足够强的磁场。强磁场应用需要更大的线圈电流。为了驱动2A的电流流过线圈,需要高达5024V的电压!而在200kHz时产生5kV的电压都很困难。
为了实现大电流和高频电磁场,推荐使用串联谐振技术。

图7:波形放大器驱动处于谐振点的亥姆霍兹线圈中流过大电流。
为了操作处于谐振模式的高频亥姆霍兹线圈,需要增加一个串联电容,如图7所示。串联电容的阻抗具有与电感相反的极性。这样电容就作为一个阻抗抵消器件,它会减小总的阻抗。在谐振时,电容的电抗(阻抗的虚数部分)可完全抵消电感的电抗。这是因为电感和电容的电抗幅度相等,但极性相反。
因此只有电感的寄生电阻保留了下来。由于只剩电阻,函数发生放大器(TS250)即使在高频时也可以驱动大电流流过亥姆霍兹线圈(LCR电路)。这种方法能够使信号放大器驱动大电流通过高频线圈,但它只能工作在谐振频率附近很窄的频率范围。谐振技术的缺点是,当你改变频率时你需要同时改变电容。

亥姆霍兹线圈的串联谐振频率用公式3给出。串联电容CS可以用公式4进行计算。串联电容上的电压可以用上面的公式2进行计算。在高频率和大电流时,电压可能达数千伏。举例来说,流过2mH高频亥姆霍兹线圈的是200kHz、1A电流时,电容上的电压为2512V!因此这个电容的额定值必须至少能达到这个电压。
注意:潜在的电气冲击
上述大电流亥姆霍兹(电磁)线圈可以存储足够的能量因而变得具有电击危险。确保所有电气连接与高压绝缘器件绝缘。导线必须具有上述的额定电压等级。在连接或断开线圈和电容之前永远要记得关闭波形放大器输出。
电流放大谐振法
比串联谐振更加强大的另外一种谐振被称为电流放大器谐振。这种新发明的谐振可以将亥姆霍兹线圈电流提升2倍。也就是说,线圈电流是源放大驱动器电流的2倍。因此这种谐振可以放大电流和磁场。有关这种新发明的谐振的详细信息可以在应用笔记《高频磁场发生器(High Frequency Magnetic Field Generator)》找到。

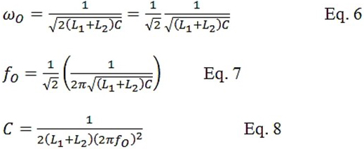
图8:使用电流放大谐振方法可以使高频亥姆霍兹线圈产生的磁场翻倍。
图8显示了使用电流放大谐振法的高频亥姆霍兹线圈连线图。这里需要两个相同容量的电容。一个电容与线圈串联,这与上述的串联谐振相同。第二个谐振电容与两个线圈并联。这个并联电容类似于上述高频亥姆霍兹线圈电路模型中的寄生电容。
谐振频率用公式6表示。两个电容的容值可以用公式8进行计算。在谐振点,亥姆霍兹线圈阻抗是阻性的,4倍于线圈寄生电阻。当在电流放大的谐振中使用时最好设计低阻抗的线圈。另外要记住,由于趋肤效应的影响,磁性线圈的交流阻抗要比直流阻抗大。

本文小结
本文讨论了驱动高频亥姆霍兹线圈的三种方法。直接驱动方法最简单,但一般用于低频或低电感场合。使用串联谐振方法驱动亥姆霍兹线圈可以产生大的电流和高频磁场。创新的电流放大谐振法甚至可以在高频时产生更强的磁场。
