杂散电感对高效IGBT逆变器设计的影响
时间:02-24
来源:互联网
点击:
IGBT技术不能落后于应用要求。因此,英飞凌推出了最新一代的IGBT芯片以满足具体应用的需求。与目前逆变器设计应用功率或各自额定电流水平相关的开关速度和软度要求是推动这些不同型号器件优化的主要动力。这些型号包括具备快速开关特性的T4芯片、具备软开关特性的P4芯片和开关速度介于T4和P4之间的E4芯片。
表1简单介绍了IGBT的3个折衷点,并对相应的电流范围给出了建议。
为研究和比较这三款不同芯片在杂散电感从23nH到100nH时的开关损耗和软度,我们选用了一种接近最优化使用T4芯片的合理限值的模块。因此,选择一个采用常见的62mm封装300A半桥配置作为平台,而模块则分别搭载了这三款IGBT芯片。
这三个模块都采用了相同的高效发射极控制二极管和栅极驱动设置。图1为实验设置。
图2显示了两个不同杂散电感对配备IGBT-T4的300A半桥的开通波形的影响。
当电流升高后,更高的杂散电感Ls不仅可以增大器件端子的电感压降(Δu=-L*di/dt),而且还能影响电流上升速度di/dt本身。尽管寄生电感使导通速度减缓,但导通损耗却大幅降低。
在该示例中,初始开关阶段的损耗(见图2中的时间戳a)随着杂散电感的增大由30.4mW降至12mW。
开关事件第二阶段的特点是二极管出现反向恢复电流峰值以及IGBT电压进一步下降。寄生电感的增大会导致反向恢复电流峰值的延迟,以及第二阶段开关损耗的提高。
因此,就整个开关事件而言,寄生电感的增大可大幅降低开通损耗。在本例中,损耗由40mW降低至23.2mW。
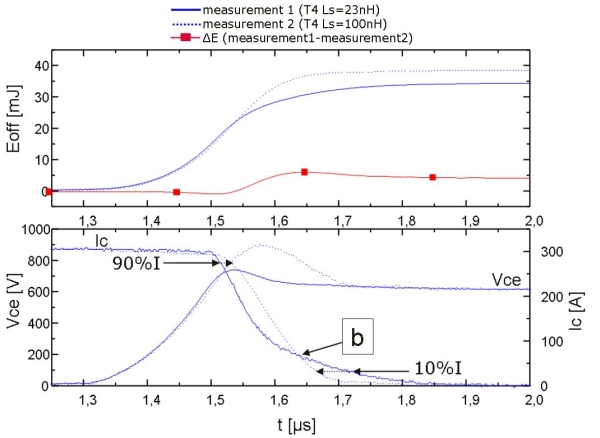
众所周知,虽然在开通过程中di/dt可降低IGBT的电压,但在关断过程中它也会增大IGBT的电压过冲。因此,直流母线电感的增加会增大关断损耗。如图3所示,关断的开关事件可分为两个阶段。
小电感和大电感设置的电流波形在时间戳b的位置交叉。在第一开关阶段直到交叉点b,采用大电感设置升高的过压会使损耗增至36.3mJ,而小电感设置的损耗为30.8mJ。不过,在b点之后,大电感设置会产生较短的电流拖尾,这样该阶段的损耗会比小电感设置的损耗低1.8mJ。这一结果主要受电流拖尾降低的影响,即更快速地达到10%的值。
随着杂散电感的增大,IGBT的开通损耗会降低,二极管损耗则会增大(如图4所示)。图4显示了在小电感和大电感条件下二极管恢复特性的对比。
显而易见,IGBT降低的di/dt几乎对二极管换流开始阶段的损耗没有任何影响,因为二极管电压依然维持在零左右。在反向恢复峰值电流之后,更大杂散电感引起的二极管电压升高决定并导致了额外的损耗。小电感和大电感设置的二极管拖尾电流中可再次看到交叉点c。更高的过压使得c点之前的损耗从10.1mJ增至19.6mJ。与IGBT的情况一样,增加的动态过压会导致c点之后的拖尾电流降低,大电感设置的损耗平衡将优化4.4mJ。总之,第一开关阶段起主导作用,二极管损耗随着电感的增加从24.6mJ提高至29.7mJ,增幅为20%。
实验结果的总动态损耗
尽管在开通过程中,di/dt与寄生电感的结合可降低IGBT的电压,但在关断过程中,它将增大IGBT的电压过冲。将开通与关断过程进行左右对比,不难看出,在较大寄生电感时开通损耗的降度远高于关断损耗的增幅。
如果考虑到最新沟槽栅场截止IGBT的关断di/dt本质上受器件动态性能的制约,约为导通di/dt的一半,就可轻松理解这一趋势。
在图5中,对IGBT开通损耗、关断损耗以及二极管换流损耗与三款IGBT的寄生直流母线杂散电感进行了对比。
IGBT和二极管的软度和电流突变特性
前文已经表明寄生电感可能对总体损耗平衡有益。但是杂散电感还可能导致振荡,比如由电流突变引起的振荡,这可能导致由于EMI或过压限制而引起的器件使用受限。迄今为止所介绍的所有测量都是在对损耗至关重要的Tvj=150℃结温条件下进行的。电流突变在低温条件下更加关键,因为器件的载流子注入随着温度的降低而减少,并大幅降低用于平滑拖尾电流的电荷。因此,图6在25℃和600V直流母线电压的条件下,对三款芯片在额定电流下的IGBT关断情况进行了比较。直流母线电感被作为一个参数使用。
表1简单介绍了IGBT的3个折衷点,并对相应的电流范围给出了建议。
表1:英飞凌1200V IGBT简介。
IGBT和二极管的动态损耗为研究和比较这三款不同芯片在杂散电感从23nH到100nH时的开关损耗和软度,我们选用了一种接近最优化使用T4芯片的合理限值的模块。因此,选择一个采用常见的62mm封装300A半桥配置作为平台,而模块则分别搭载了这三款IGBT芯片。
这三个模块都采用了相同的高效发射极控制二极管和栅极驱动设置。图1为实验设置。
图2显示了两个不同杂散电感对配备IGBT-T4的300A半桥的开通波形的影响。
当电流升高后,更高的杂散电感Ls不仅可以增大器件端子的电感压降(Δu=-L*di/dt),而且还能影响电流上升速度di/dt本身。尽管寄生电感使导通速度减缓,但导通损耗却大幅降低。
在该示例中,初始开关阶段的损耗(见图2中的时间戳a)随着杂散电感的增大由30.4mW降至12mW。
开关事件第二阶段的特点是二极管出现反向恢复电流峰值以及IGBT电压进一步下降。寄生电感的增大会导致反向恢复电流峰值的延迟,以及第二阶段开关损耗的提高。
因此,就整个开关事件而言,寄生电感的增大可大幅降低开通损耗。在本例中,损耗由40mW降低至23.2mW。
众所周知,虽然在开通过程中di/dt可降低IGBT的电压,但在关断过程中它也会增大IGBT的电压过冲。因此,直流母线电感的增加会增大关断损耗。如图3所示,关断的开关事件可分为两个阶段。
小电感和大电感设置的电流波形在时间戳b的位置交叉。在第一开关阶段直到交叉点b,采用大电感设置升高的过压会使损耗增至36.3mJ,而小电感设置的损耗为30.8mJ。不过,在b点之后,大电感设置会产生较短的电流拖尾,这样该阶段的损耗会比小电感设置的损耗低1.8mJ。这一结果主要受电流拖尾降低的影响,即更快速地达到10%的值。
随着杂散电感的增大,IGBT的开通损耗会降低,二极管损耗则会增大(如图4所示)。图4显示了在小电感和大电感条件下二极管恢复特性的对比。
显而易见,IGBT降低的di/dt几乎对二极管换流开始阶段的损耗没有任何影响,因为二极管电压依然维持在零左右。在反向恢复峰值电流之后,更大杂散电感引起的二极管电压升高决定并导致了额外的损耗。小电感和大电感设置的二极管拖尾电流中可再次看到交叉点c。更高的过压使得c点之前的损耗从10.1mJ增至19.6mJ。与IGBT的情况一样,增加的动态过压会导致c点之后的拖尾电流降低,大电感设置的损耗平衡将优化4.4mJ。总之,第一开关阶段起主导作用,二极管损耗随着电感的增加从24.6mJ提高至29.7mJ,增幅为20%。
实验结果的总动态损耗
尽管在开通过程中,di/dt与寄生电感的结合可降低IGBT的电压,但在关断过程中,它将增大IGBT的电压过冲。将开通与关断过程进行左右对比,不难看出,在较大寄生电感时开通损耗的降度远高于关断损耗的增幅。
如果考虑到最新沟槽栅场截止IGBT的关断di/dt本质上受器件动态性能的制约,约为导通di/dt的一半,就可轻松理解这一趋势。
在图5中,对IGBT开通损耗、关断损耗以及二极管换流损耗与三款IGBT的寄生直流母线杂散电感进行了对比。
IGBT和二极管的软度和电流突变特性
前文已经表明寄生电感可能对总体损耗平衡有益。但是杂散电感还可能导致振荡,比如由电流突变引起的振荡,这可能导致由于EMI或过压限制而引起的器件使用受限。迄今为止所介绍的所有测量都是在对损耗至关重要的Tvj=150℃结温条件下进行的。电流突变在低温条件下更加关键,因为器件的载流子注入随着温度的降低而减少,并大幅降低用于平滑拖尾电流的电荷。因此,图6在25℃和600V直流母线电压的条件下,对三款芯片在额定电流下的IGBT关断情况进行了比较。直流母线电感被作为一个参数使用。
IGBT 逆变器 电流 二极管 电感 电压 电子 相关文章:
- 隔离式MOSFET驱动器集成电路的功率效率在轻负载时得到改善(07-31)
- 即将普及的碳化硅器件(10-19)
- IR2110驱动电路的优化设计(03-15)
- 利用低端栅极驱动器IC进行系统开发(12-21)
- 针对不同应用选择正确的MOSFET驱动器(12-23)
- 智能型的铅酸蓄电池管理系统(04-29)
