电流模式控制倍流整流器ZVS PWM DC-DC变换器
时间:11-11
来源:互联网
点击:
1、引言
传统的PWM DC/DC 移相全桥零电压软开关(ZVS)变换器利用变压器的漏感或/和原边串联电感和开关管的外接或/和寄生电容之间的谐振来实现零电压软开关,由于超前桥臂和滞后桥臂实现零电压软开关ZVS的条件不尽相同,导致了滞后桥臂实现零电压软开关ZVS的难度比超前桥臂要大得多;输出整流二极管换流时关断的二极管反向恢复会引起次级较大的电压尖峰;并且还存在较为严重的副边占空比丢失的情况。为了解决这些问题,以下提出了一种改进型的电路拓扑结构。
2、改进型移相全桥ZVS DC-DC变换器主电路
改进型移相全桥ZVS DC-DC变换器主电路结构和各点波形对照如下图2-1(a)和(b)所示:


容易看出改进型的电路拓扑与基本型电路的主要差别在于副边整流电路,该整流电路被称为倍流整流器(Current-Doubler Rectifier,CDR),是目前应用的热点之一。下面首先介绍一下该整流电路。与全波整流相比,倍流整流器的高频变压器副边绕组仅需一个单一绕组,不用中心抽头。与桥式整流相比,倍流整流器使用的二极管数量少一半。所以说,倍流整流器是结合全波整流和桥式整流两者优点的新型整流器。当然,倍流整流器要多使用一个输出小滤波电感。但此电感的工作频率及输送电流均比全波整流器的要小一半,因此可做得较小,另外双电感也更适合于分布式功率耗散的要求。
以下我们来研究一下改变整流电路后变换器主电路的工作状况有什么不同。
由于电路工作状态在一个周期内可以分为两个完全一样的过程,所以以下仅仅分析半个周期的情况,而这半个周期又可分为以下三种开关模态(对照上图2-1所示)。
(1). 开关模态 1: t0 < t < t1 其中t1=DTs/2
此时Q1和Q4同时导通,变压器副边电感L1和整流管DS2 导通, 原边能量向负载端传递。此模态的等效电路如下图2-2:

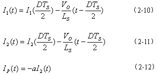
其中,a为变压器变比,Vin是直流母线电压,I1和I2分别是电感L1和 L2电流(L1=L2=Ls),此时有如下等式成立:

当Q4关断时该模态过程结束。
(2).开关模态 2 : t1 < t < t2 其中t2≤Ts/2
在t1时刻关断Q4 ,此时副边电感L1中储存的能量给Q4电容(或并联电容)充电同时将Q3两端电容电荷放掉。为了实现软开关,Q4关断和Q3开通之间至少要存在一死区时间Δt1, 使得在Q3开通前D3首先导通,且有等式:

成立。其中Ceff 是开关管漏源两端等效电容,Ip1为 t1时刻变压器原边流过电流。当D3导通后,变压器副边两个二极管DS1 和DS2同时导通,电路工作在续流状态。此时等效电路如下图2-3所示:

此时有如下电路方程成立:

其中D为脉冲占空比,fS为电路工作频率,L'ik为主边变压器漏感(或与外接电感的串联值),rt是变压器原边等效电阻,τ是原边等效电流衰减时间常数,Vfp是反并联二极管导通压降。
(3). 开关模态3: t2 < t < t3 其中t3=Ts/2
处于该模态时,电路原边导通情况与以上的模态2一致。此时由于换流过程结束,DS2关断。所以等效电路如下图2-4所示:

此时有电路方程如下:

注意这时I1,I2与模态2相同,但是DS1中将流过全部的负载电流。当Q1关断时该模态结束。此时副边电感L2中储存的能量同时给开关管Q1和Q2 漏源端电容充电和放电。
Q1关断后,D2 和D3将导通,这时候就可以给Q2和Q3以开通触发信号了,当电流反向后,Q2,Q3导通,能量再次从原边传递到副边,于是Q2,Q3都是零电压开通。
由于对称性,剩下的半个周期的工作状况与以上完全相同。
由此可以得到负载端输出电压:

注意它与一般的全波整流电路之间的1/2倍的关系。
由工作原理可以得到如下结论:
(1). 超前臂开关管和滞后臂开关管的ZVS都利用了次级输出滤波电感的能量来实现,因此串联在原边的电感值可以大大减小(甚至可以不需要串联电感,只用变压器的原边漏感)。
(2). 软开关实现时能量由副边电感和原边电感共同提供,因此可以在较宽的负载范围内实现ZVS。
(3). 超前臂开关管和滞后臂开关管实现软开关ZVS的条件没有基本型电路苛刻,并且由于副边电感的影响,它们之间的软开关实现条件的差异较之基本型电路大大减小。
3、变换器控制电路设计
该控制系统通过采集原边母线电流、副边侧输出电压来构成两个控制闭环:电流内环和电压外环,原理框图如下图3-1所示。UCC3895是美国TI公司生产的一种高性能电流/电压移相PWM控制器。它是UC3875(79)的改进型;它最适合于移相全桥电路,同时配合零电压开关工作以实现在高频时的局部软开关性能。它除了具有UC3875(79)的功能外,最大的改进是增加了自适应死区设置,以适应负载变化时不同的准谐振软开关要求。同时由于它采用了BCDMOS工艺,使得它的功耗更小,工作频率更高。
从原理框图可以清楚的看出:原边母线电流通过电流互感器隔离采集得到,该信号再通过滤波以及斜坡补偿电路后得到电流控制信号;而输出电压信号经过TL431调节后经过光耦隔离,再与设定电压参考值比较得到电压控制信号。电流和电压控制信号输入移相PWM控制器UCC3895后经由芯片内部比较器以及脉冲产生电路得到四路PWM控制信号,但是有一点必须注意,那就是UCC3895的驱动能力很弱,所以必须将这些控制信号加以功率放大并隔离,然后才能驱动主电路的两个桥臂中的开关管。其中,采用母线电流的好处是它能反映同一桥臂上下开关管的贯通情况,从而为开关管的保护电路提供一定的依据。另外,该方案成功与否的关键就是斜坡补偿电路以及隔离驱动电路

传统的PWM DC/DC 移相全桥零电压软开关(ZVS)变换器利用变压器的漏感或/和原边串联电感和开关管的外接或/和寄生电容之间的谐振来实现零电压软开关,由于超前桥臂和滞后桥臂实现零电压软开关ZVS的条件不尽相同,导致了滞后桥臂实现零电压软开关ZVS的难度比超前桥臂要大得多;输出整流二极管换流时关断的二极管反向恢复会引起次级较大的电压尖峰;并且还存在较为严重的副边占空比丢失的情况。为了解决这些问题,以下提出了一种改进型的电路拓扑结构。
2、改进型移相全桥ZVS DC-DC变换器主电路
改进型移相全桥ZVS DC-DC变换器主电路结构和各点波形对照如下图2-1(a)和(b)所示:


容易看出改进型的电路拓扑与基本型电路的主要差别在于副边整流电路,该整流电路被称为倍流整流器(Current-Doubler Rectifier,CDR),是目前应用的热点之一。下面首先介绍一下该整流电路。与全波整流相比,倍流整流器的高频变压器副边绕组仅需一个单一绕组,不用中心抽头。与桥式整流相比,倍流整流器使用的二极管数量少一半。所以说,倍流整流器是结合全波整流和桥式整流两者优点的新型整流器。当然,倍流整流器要多使用一个输出小滤波电感。但此电感的工作频率及输送电流均比全波整流器的要小一半,因此可做得较小,另外双电感也更适合于分布式功率耗散的要求。
以下我们来研究一下改变整流电路后变换器主电路的工作状况有什么不同。
由于电路工作状态在一个周期内可以分为两个完全一样的过程,所以以下仅仅分析半个周期的情况,而这半个周期又可分为以下三种开关模态(对照上图2-1所示)。
(1). 开关模态 1: t0 < t < t1 其中t1=DTs/2
此时Q1和Q4同时导通,变压器副边电感L1和整流管DS2 导通, 原边能量向负载端传递。此模态的等效电路如下图2-2:

其中,a为变压器变比,Vin是直流母线电压,I1和I2分别是电感L1和 L2电流(L1=L2=Ls),此时有如下等式成立:

当Q4关断时该模态过程结束。
(2).开关模态 2 : t1 < t < t2 其中t2≤Ts/2
在t1时刻关断Q4 ,此时副边电感L1中储存的能量给Q4电容(或并联电容)充电同时将Q3两端电容电荷放掉。为了实现软开关,Q4关断和Q3开通之间至少要存在一死区时间Δt1, 使得在Q3开通前D3首先导通,且有等式:

成立。其中Ceff 是开关管漏源两端等效电容,Ip1为 t1时刻变压器原边流过电流。当D3导通后,变压器副边两个二极管DS1 和DS2同时导通,电路工作在续流状态。此时等效电路如下图2-3所示:

此时有如下电路方程成立:

其中D为脉冲占空比,fS为电路工作频率,L'ik为主边变压器漏感(或与外接电感的串联值),rt是变压器原边等效电阻,τ是原边等效电流衰减时间常数,Vfp是反并联二极管导通压降。
(3). 开关模态3: t2 < t < t3 其中t3=Ts/2
处于该模态时,电路原边导通情况与以上的模态2一致。此时由于换流过程结束,DS2关断。所以等效电路如下图2-4所示:

此时有电路方程如下:

注意这时I1,I2与模态2相同,但是DS1中将流过全部的负载电流。当Q1关断时该模态结束。此时副边电感L2中储存的能量同时给开关管Q1和Q2 漏源端电容充电和放电。
Q1关断后,D2 和D3将导通,这时候就可以给Q2和Q3以开通触发信号了,当电流反向后,Q2,Q3导通,能量再次从原边传递到副边,于是Q2,Q3都是零电压开通。
由于对称性,剩下的半个周期的工作状况与以上完全相同。
由此可以得到负载端输出电压:

注意它与一般的全波整流电路之间的1/2倍的关系。
由工作原理可以得到如下结论:
(1). 超前臂开关管和滞后臂开关管的ZVS都利用了次级输出滤波电感的能量来实现,因此串联在原边的电感值可以大大减小(甚至可以不需要串联电感,只用变压器的原边漏感)。
(2). 软开关实现时能量由副边电感和原边电感共同提供,因此可以在较宽的负载范围内实现ZVS。
(3). 超前臂开关管和滞后臂开关管实现软开关ZVS的条件没有基本型电路苛刻,并且由于副边电感的影响,它们之间的软开关实现条件的差异较之基本型电路大大减小。
3、变换器控制电路设计
该控制系统通过采集原边母线电流、副边侧输出电压来构成两个控制闭环:电流内环和电压外环,原理框图如下图3-1所示。UCC3895是美国TI公司生产的一种高性能电流/电压移相PWM控制器。它是UC3875(79)的改进型;它最适合于移相全桥电路,同时配合零电压开关工作以实现在高频时的局部软开关性能。它除了具有UC3875(79)的功能外,最大的改进是增加了自适应死区设置,以适应负载变化时不同的准谐振软开关要求。同时由于它采用了BCDMOS工艺,使得它的功耗更小,工作频率更高。
从原理框图可以清楚的看出:原边母线电流通过电流互感器隔离采集得到,该信号再通过滤波以及斜坡补偿电路后得到电流控制信号;而输出电压信号经过TL431调节后经过光耦隔离,再与设定电压参考值比较得到电压控制信号。电流和电压控制信号输入移相PWM控制器UCC3895后经由芯片内部比较器以及脉冲产生电路得到四路PWM控制信号,但是有一点必须注意,那就是UCC3895的驱动能力很弱,所以必须将这些控制信号加以功率放大并隔离,然后才能驱动主电路的两个桥臂中的开关管。其中,采用母线电流的好处是它能反映同一桥臂上下开关管的贯通情况,从而为开关管的保护电路提供一定的依据。另外,该方案成功与否的关键就是斜坡补偿电路以及隔离驱动电路

PWM 电压 变压器 电感 电容 二极管 电路 电流 电阻 比较器 电路图 继电器 振荡器 相关文章:
- 超低静态电流电源管理IC延长便携应用工作时间(04-14)
- 电源设计小贴士 2:驾驭噪声电源(01-01)
- 高效地驱动LED(04-23)
- 用于低成本高效率离线LED驱动器的初级端调节技术(05-14)
- 隔离式MOSFET驱动器集成电路的功率效率在轻负载时得到改善(07-31)
- DC-DC变换器中一种高性能振荡电路的设计(04-08)
