光电倒置开关及其可靠性研究
时间:05-09
来源:互联网
点击:
0 引言
存储测试系统的上电方式是一个非常重要的环节。许多测试都是在保温一定时间后进行的,而测试装置都是在保温前放到被测物体中,这就要求在保温过程中使测试装置的功耗降到最低,倒置开关的作用就是在物体保温的过程中测试系统不工作,而在测试前通过倒置开关使测试系统上电工作,从而达到低功耗,使测试系统在工作时能正常运行。
倒置开关是存储测试系统的关键部件,它的可靠性决定了存储测试系统的可靠性,直接关系整个实验的成败。
本文研究了一种光电倒置开关,并设计一套完整的可靠性检测系统,有效分析了光电倒置开关的可靠性。
1 光电倒置开关
1.1 光电倒置开关的组成
光电倒置开关是由一个发射管和一个接收管安装固定在同一个对光基线的壳体上,在壳体的内腔中装有小钢球,外部由电路模块做出响应,这3 部分被封装在同一个小体积的机械筒体内。光电倒置开关结构如图1 所示。
1.2 光电倒置开关的工作过程
当光电倒置开关接通电源后,发射二极管开始发出红外线,当小钢球没有挡住发射管的光线,接收三极管接受到光,输出有效信号。此信号通过电路转换部分将电平拉高,从而使开关导通;随着倒置过程的开始,小钢球跌落,挡住发射二极管的光线,接收三极管接收不到光,从而开关断开。
1.3 光电倒置开关的波形理论
机械壳体对于光电倒置开关来说是最为重要的部分,壳体的内腔具有两个锥度腔,根据机械壳体的结构,光电倒置开关倒置一周(旋转360°)的工作状态的转换情况如图2 所示。
2.1 检测系统的总体结构
光电倒置开关的检测系统是由小功率调速电机、固定光电倒置开关和电路模块的转筒以及电路模块所组成的。图4 是检测系统的总体结构框图,该图表明了各部分之间的关系。
2.2 波形分析程序设计
从检测系统Flash 中读出的数据可以在上位机中,由VB 6.0 设计的软面板显示成波形图,同时对波形做更进一步的处理,判断每个光电倒置开关的成功比率,以此检测其可靠性。
由图5 的正弦波形图可以看出,在一个周期(-π ,π )内,波形单调升或者单调降各一次。
由于一个周期内只有一次单调升,于是可以得到这样一个算法:
假设正弦波由n 个点组成,每一个点都有对应正弦波上的一个值发f(n)。在(-1,1)之间随意取一个值A,当且仅当f(n)《A、f(n+1)》A 时,认为此时的波形处于上升阶段,算作一个周期,其他的情况全部忽略。这样,可以判断在一组正弦波中有多少个周期。
波形分析程序设计流程图如图6 所示。
3.1 正常波形分析
对于一个完好的光电倒置开关,不论是在常温、高温环境下,还是低温环境下,所采集的波形应是已知的,都是占空比是251.5/360 的波形,正常波形如图7 所示。
占空比是Δx2/ Δx1 = 0.6961,和理论上的占空比251.5/360 = 0.6986 是相差很小,基本一致的。
根据TI 公司提供的ADC12 内核的转换公式:
可得,电压约为1.92V,和实际的2V 相差0.08V。
3.2 异常波形分析
在实际的开关检测系统所得大量实验数据中,不可能每一个开关的波形都和理想的波形一致,总会出现异常的数据,引起这些异常数据的原因也是多样的。
1)异常波形如图8,9 所示。
存储测试系统的上电方式是一个非常重要的环节。许多测试都是在保温一定时间后进行的,而测试装置都是在保温前放到被测物体中,这就要求在保温过程中使测试装置的功耗降到最低,倒置开关的作用就是在物体保温的过程中测试系统不工作,而在测试前通过倒置开关使测试系统上电工作,从而达到低功耗,使测试系统在工作时能正常运行。
倒置开关是存储测试系统的关键部件,它的可靠性决定了存储测试系统的可靠性,直接关系整个实验的成败。
本文研究了一种光电倒置开关,并设计一套完整的可靠性检测系统,有效分析了光电倒置开关的可靠性。
1 光电倒置开关
1.1 光电倒置开关的组成
光电倒置开关是由一个发射管和一个接收管安装固定在同一个对光基线的壳体上,在壳体的内腔中装有小钢球,外部由电路模块做出响应,这3 部分被封装在同一个小体积的机械筒体内。光电倒置开关结构如图1 所示。
图1 光电倒置开关结构图
红外发光二极管具有能耗小,响应速度快,抗干扰能力、可靠耐用等优点。红外发光二极管作为发射器把电信号转换为红外光信号,光敏三极管作为接收器,接收红外光信号再将红外光信号转换为电信号。在本微型开光设计过程中选用与红外发光二极管配套的光敏三极管。1.2 光电倒置开关的工作过程
当光电倒置开关接通电源后,发射二极管开始发出红外线,当小钢球没有挡住发射管的光线,接收三极管接受到光,输出有效信号。此信号通过电路转换部分将电平拉高,从而使开关导通;随着倒置过程的开始,小钢球跌落,挡住发射二极管的光线,接收三极管接收不到光,从而开关断开。
1.3 光电倒置开关的波形理论
机械壳体对于光电倒置开关来说是最为重要的部分,壳体的内腔具有两个锥度腔,根据机械壳体的结构,光电倒置开关倒置一周(旋转360°)的工作状态的转换情况如图2 所示。
图2 中心线旋转一周开关状态的角度图
根据上述,可以得出在光电倒置开关工作一个周期的波形图。波形示意图如图3 所示。从光电倒置开关工作的理论波形图可以看出,一个开关工作一个周期(旋转倒置360°)的理想占空比是251.5/360,这就是光电倒置开关检测系统的测试信号的特性,也为验证检测系统的准确性提供了依据。
图3 光电倒置开关工作一个周期的波形图
2 光电倒置开关检测系统设计2.1 检测系统的总体结构
光电倒置开关的检测系统是由小功率调速电机、固定光电倒置开关和电路模块的转筒以及电路模块所组成的。图4 是检测系统的总体结构框图,该图表明了各部分之间的关系。
图4 检测系统的总体结构框图
当系统装配好后,接上电源进入低功耗态;在小功率电机的旋转过程中,当检测系统的光敏三极管感应到发光二极管发出的光时,检测系统被触发,系统开始循环采样并把转换的结果存储到外部Flash中;当Flash 内的数据达到设计的存储容量时,系统停止采样检测系统进入等待读出态。2.2 波形分析程序设计
从检测系统Flash 中读出的数据可以在上位机中,由VB 6.0 设计的软面板显示成波形图,同时对波形做更进一步的处理,判断每个光电倒置开关的成功比率,以此检测其可靠性。
由图5 的正弦波形图可以看出,在一个周期(-π ,π )内,波形单调升或者单调降各一次。
由于一个周期内只有一次单调升,于是可以得到这样一个算法:
假设正弦波由n 个点组成,每一个点都有对应正弦波上的一个值发f(n)。在(-1,1)之间随意取一个值A,当且仅当f(n)《A、f(n+1)》A 时,认为此时的波形处于上升阶段,算作一个周期,其他的情况全部忽略。这样,可以判断在一组正弦波中有多少个周期。
图5 正弦波形图
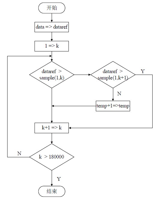
同理,这个算法也可以应用到检测系统采集到的数据分析的软件设计上。由前述的波形理论可知,光电倒置开关工作一个周期的波形,单调升或者单调降只有一次,完全符合上述算法。波形分析程序设计流程图如图6 所示。
图6 波形分析程序设计流程图
3 光电倒置开关的性能检测及可靠性分析3.1 正常波形分析
对于一个完好的光电倒置开关,不论是在常温、高温环境下,还是低温环境下,所采集的波形应是已知的,都是占空比是251.5/360 的波形,正常波形如图7 所示。
图7 正常波形图
分析波形图可以得出:占空比是Δx2/ Δx1 = 0.6961,和理论上的占空比251.5/360 = 0.6986 是相差很小,基本一致的。
根据TI 公司提供的ADC12 内核的转换公式:
可得,电压约为1.92V,和实际的2V 相差0.08V。
3.2 异常波形分析
在实际的开关检测系统所得大量实验数据中,不可能每一个开关的波形都和理想的波形一致,总会出现异常的数据,引起这些异常数据的原因也是多样的。
1)异常波形如图8,9 所示。
电路 红外 二极管 发光二极管 三极管 ADC 电压 电子 相关文章:
- 一种新型防伪读码器的设计(01-01)
- 基于ARM与DSP的嵌入式运动控制器设计(04-25)
- 航天器DC/DC变换器的可靠性设计(02-12)
- 基于ARM核的AT75C220及其在指纹识别系统中的应用(05-24)
- 基于nRF2401智能小区无线抄表系统集中器设计(04-30)
- 卫星电源分系统可靠性设计与研究(02-12)
