模拟人体指纹的小区监控技术研究
时间:12-28
来源:互联网
点击:
通过对目标小区内所有普通用户手机测量报告记录(简称MRR) 中各种参数(如:信号强度、信号质量、TA、功率等)的采集和分析,依据小区无故障或无明显的环境变化情况下小区MRR 各项指标相对稳定的实践经验, 模拟人体指纹独特性和稳定性的特征,通过三种不同方式的算法建立个性化小区“指纹”模型,在小区性能和无线环境发生变动或异常时,帮助网络优化人员及时监控、分析和定位故障。
MRR(测量报告记录)通过收集来自客户所使用的普通手机测量报告,对小区上下行的信号质量、信号强度、TA、路径损耗、功率控制等级等信息进行分类统计,实际反映了服务小区无线信号测量质量。
在进行网络监控和分析时具有统计全面、效率高等特点,同时也能反映客户对网络的真实感受。
传统的MRR 主要应用于两种场景: 一是当小区质量出现故障时,用其辅助定位故障原因;另一就是在统计无线网络质量时,使用其中的统计数据(如上、下行信号强度,上、下行信号质量)的均值来衡量全网或局部小区覆盖以及质量。这方面说明了MRR 具有定位网络故障和反映小区无线网络质量的作用。
笔者注意到,MRR 在网络优化上的作用还可以深入挖掘。本文拟通过研究挖掘MRR 本身的特性,提出一种基于这些特性建立类似人体指纹的独特性和稳定性的小区“指纹”监控模型,一旦小区“指纹”
发生变动,即发出变动或异常告警,帮助网络优化人员及时发现、分析和定位网络异常。
1 MRR 功能和特性简介
MRR 是爱立信OSS(运营支撑系统)中的一个重要功能模块,用于记录特定时间和范围内的BSC(基站控制器) 所接收的所有无线通话测量报告,测量报告包括上行和下行,具体的数据有:
a)上行信号强度(RXLEVUL):基站测量到的接收信号强度。
b)下行信号强度(RXLEVDL):移动台测量到的接收信号强度。
c)上行信号质量(RXQUALUL):基站测量到的接收信号质量。
d)下行信号质量(RXQUALDL):移动台测量到的接收信号质量。
e)上行路径损耗:反映从移动台到基站的路径损耗。
f)下行路径损耗:反映从基站到移动台的路径损耗。
g)移动台的功率等级(MSPOWER):反映移动台发射的功率。
h)基站收发信台的功率等级(BSPOWER):反映基站的发射功率。
i) 时间提前量(TA): 反映移动台到基站的距离。
在无线环境和网络硬件设备稳定的情况下,小区MRR 各参数值虽在一定范围内变化, 但从统计上是相对稳定的, 而且各个小区由于本身的性能差异和所处无线环境的不同, 这些参数值也是非常独立各异的,这就类似人体指纹的独特性和稳定性。
2 技术方案
为了能够实现利用MRR 达到对小区异常监控的目的,本文将分三个部分进行阐述:数据采集、建立小区“指纹”模型、异常告警呈现方式及处理。
2.1 建立小区“指纹”模型
建立基于MRR 的小区数据模型, 要先分析MRR 的数据结构。MRR 数据结构特征可以归纳为:
a)小区名:顾名思义,就是指定制了MRR 的小区识别名称。
b)参数名称:是指类似上/ 下行信号强度、TA等参数名称。
c)时间段:MRR 采集的时间,可观察到数据采集时长。
d)采样总报告数:指在规定的时间内,采集到的用户数据数目。
e)各个采样点分布情况:针对不同的参数,系统依据对该参数事先设置的等级把MRR 上报的采样点放入符合条件的等级中。
f)均值:取加权平均。
2.1.1 相关算法
MRR 数据本身已经直接或间接地提供了各参数在某一时间段内的均值,为了建立小区“指纹”的需要,本文提出了两种算法。
1)均值算法:
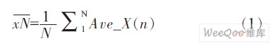
该算法是直接取连续N 天内(根据话务模型N通常可以设置为7)MRR 参数平均值( 这里用Ave_X (n) 代表每天MRR 参数平均值,n=1,2……N)。
然后再次进行算术平均,得出平均值为

:

2)区间分布算法
该算法是针对MRR 中小区参数采样点分布的变化情况而设计, 可计算出某个小区MRR 参数某两个值之间的采样点分布情况,如图1 所示。

图1 阴影部分表示小于或等于某个参数值y 所占全部采样点的比例p,所对应具体算法是:

式(2) 中,T 表示总采样点数,Ti表示某个采样点。
进一步,根据式(2),可以得到数天内(假设为N天)p 的均值

,所对应的具体算法是:

式(3)中,pn代表第n 天某时段p 值。
2.1.2 建立小区“指纹”模型
有了前面的基础理论,本节将探讨小区“指纹”
模型的组成元素以及针对各元素可设置的阈值。
1)模型组成元素
小区模型组成元素选择原则是要能够反映小区的运行性能和质量,当然,这些基本的组成元素也是MRR 中所包含的。基于这个原则,本文选择以下元素作为“指纹”模型的基本组成元素:小区上/下行信号强度,小区上/ 下行信号质量,小区上/ 下行路径损耗,小区MS/BS 功率等级,小区时间提前量(TA)。
MRR(测量报告记录)通过收集来自客户所使用的普通手机测量报告,对小区上下行的信号质量、信号强度、TA、路径损耗、功率控制等级等信息进行分类统计,实际反映了服务小区无线信号测量质量。
在进行网络监控和分析时具有统计全面、效率高等特点,同时也能反映客户对网络的真实感受。
传统的MRR 主要应用于两种场景: 一是当小区质量出现故障时,用其辅助定位故障原因;另一就是在统计无线网络质量时,使用其中的统计数据(如上、下行信号强度,上、下行信号质量)的均值来衡量全网或局部小区覆盖以及质量。这方面说明了MRR 具有定位网络故障和反映小区无线网络质量的作用。
笔者注意到,MRR 在网络优化上的作用还可以深入挖掘。本文拟通过研究挖掘MRR 本身的特性,提出一种基于这些特性建立类似人体指纹的独特性和稳定性的小区“指纹”监控模型,一旦小区“指纹”
发生变动,即发出变动或异常告警,帮助网络优化人员及时发现、分析和定位网络异常。
1 MRR 功能和特性简介
MRR 是爱立信OSS(运营支撑系统)中的一个重要功能模块,用于记录特定时间和范围内的BSC(基站控制器) 所接收的所有无线通话测量报告,测量报告包括上行和下行,具体的数据有:
a)上行信号强度(RXLEVUL):基站测量到的接收信号强度。
b)下行信号强度(RXLEVDL):移动台测量到的接收信号强度。
c)上行信号质量(RXQUALUL):基站测量到的接收信号质量。
d)下行信号质量(RXQUALDL):移动台测量到的接收信号质量。
e)上行路径损耗:反映从移动台到基站的路径损耗。
f)下行路径损耗:反映从基站到移动台的路径损耗。
g)移动台的功率等级(MSPOWER):反映移动台发射的功率。
h)基站收发信台的功率等级(BSPOWER):反映基站的发射功率。
i) 时间提前量(TA): 反映移动台到基站的距离。
在无线环境和网络硬件设备稳定的情况下,小区MRR 各参数值虽在一定范围内变化, 但从统计上是相对稳定的, 而且各个小区由于本身的性能差异和所处无线环境的不同, 这些参数值也是非常独立各异的,这就类似人体指纹的独特性和稳定性。
2 技术方案
为了能够实现利用MRR 达到对小区异常监控的目的,本文将分三个部分进行阐述:数据采集、建立小区“指纹”模型、异常告警呈现方式及处理。
2.1 建立小区“指纹”模型
建立基于MRR 的小区数据模型, 要先分析MRR 的数据结构。MRR 数据结构特征可以归纳为:
a)小区名:顾名思义,就是指定制了MRR 的小区识别名称。
b)参数名称:是指类似上/ 下行信号强度、TA等参数名称。
c)时间段:MRR 采集的时间,可观察到数据采集时长。
d)采样总报告数:指在规定的时间内,采集到的用户数据数目。
e)各个采样点分布情况:针对不同的参数,系统依据对该参数事先设置的等级把MRR 上报的采样点放入符合条件的等级中。
f)均值:取加权平均。
2.1.1 相关算法
MRR 数据本身已经直接或间接地提供了各参数在某一时间段内的均值,为了建立小区“指纹”的需要,本文提出了两种算法。
1)均值算法:
该算法是直接取连续N 天内(根据话务模型N通常可以设置为7)MRR 参数平均值( 这里用Ave_X (n) 代表每天MRR 参数平均值,n=1,2……N)。
然后再次进行算术平均,得出平均值为

:

2)区间分布算法
该算法是针对MRR 中小区参数采样点分布的变化情况而设计, 可计算出某个小区MRR 参数某两个值之间的采样点分布情况,如图1 所示。

图1 阴影部分表示小于或等于某个参数值y 所占全部采样点的比例p,所对应具体算法是:

式(2) 中,T 表示总采样点数,Ti表示某个采样点。
进一步,根据式(2),可以得到数天内(假设为N天)p 的均值

,所对应的具体算法是:

式(3)中,pn代表第n 天某时段p 值。
2.1.2 建立小区“指纹”模型
有了前面的基础理论,本节将探讨小区“指纹”
模型的组成元素以及针对各元素可设置的阈值。
1)模型组成元素
小区模型组成元素选择原则是要能够反映小区的运行性能和质量,当然,这些基本的组成元素也是MRR 中所包含的。基于这个原则,本文选择以下元素作为“指纹”模型的基本组成元素:小区上/下行信号强度,小区上/ 下行信号质量,小区上/ 下行路径损耗,小区MS/BS 功率等级,小区时间提前量(TA)。
- 一种新型防伪读码器的设计(01-01)
- 基于ARM与DSP的嵌入式运动控制器设计(04-25)
- 多核及虚拟化技术在工业和安全领域的应用(05-23)
- 航天器DC/DC变换器的可靠性设计(02-12)
- 我国科学家人脸与笔迹识别领域获突破(04-29)
- 基于ARM核的AT75C220及其在指纹识别系统中的应用(05-24)
