一种光纤Bragg光栅传感智能周界围栏报警系统
时间:12-27
来源:互联网
点击:
传统的周界安防或围栏报警系统:如主动红外对射、微波对射、泄漏电缆、振动电缆、电子围栏、电网等,虽为安全技术防范做出了一定的贡献,但受一些客观技术条件等因素所限,还存在着一定的缺陷。而利用光电技术中的新型光纤传感技术做成的周界围栏报警系统具有非常明显的技术优势。本文介绍传统周界围栏报警系统的缺陷及光纤传感的优势,光纤Bragg光栅传感器的原理、优点,基于光纤Bragg光栅传感智能周界围栏报警系统的组成及工作原理,系统多处侵入定位报警的解决法及其应用与市场前景等。
一、光纤传感技术与周界围栏报警系统比较
多年来,传统的周界安防或围栏报警系统:如主动红外对射、微波对射、泄漏电缆、振动电缆、电子围栏、电网等,为安全技术防范做出了一定的贡献。但是,受一些客观技术条件等因素所限,还存在着一定的缺陷:如主动红外对射的围栏报警系统,易受地形条件的高低、曲折、转弯、折弯等环境限制,而且它们不适合恶劣气候,容易受高温、低温、强光、灰尘、雨、雪、 雾、霜等自然气候的影响,易出现误报率;再如泄露电缆、振动电缆、电子围栏、电网等围栏报警系统,均属于有源的电传感,系统功耗很大;且电子围栏、电网等又有一定危害性;它们又易受电磁干扰、信号干扰、串扰等,而使灵敏性下降,误报率、漏报率上升等。
与上述周界安防或围栏报警系统相比,利用光电技术中的新型光纤传感技术做成的周界安防或围栏报警系统具有非常明显的技术优势:
(1)抗电磁干扰,电绝缘性好、安全可靠,耐腐蚀、化学性能稳定,因而完全不受雷电影响,能在恶劣的化学环境、野外环境及强电磁干扰等场所下工作;
(2)体积小、重量轻,几何形状可塑,传输损耗小,传输容量大,具有非常好的可靠性和稳定性;
(3)不仅能发现外界扰动,而且可确定外界扰动的位置,系统具有成本低、结构简单、便于扩展与安装容易;
(4)无辐射、无易燃易爆材料,既防水又环保;
(5)能源依赖性低,可大大节省供电设备与线路的成本,适合长距离使用;
(6)可根据被测对象的情况选择不同的检测方法,再加上其对被测介质影响小,所以它非常有利于在结构检测等具有复杂环境的领域中应用等。
周界安防或围栏报警系统,在光纤传感技术中可利用两种光纤传感器来实现:一是利用光纤Bragg光栅分布式光纤传感器;二是利用光纤干涉型光纤传感器。本文讨论前者,后者己另外撰文介绍。
近年来,光纤传感技术中的光纤光栅是发展最为迅速、应用最为广泛的光纤无源器件之一。光纤光栅传感主要优点之一是便于构成分布式传感系统,而构成分布式传感系统最关键技术之一是复用技术,包括波分复用(WDM)、时分复用(TDM)、空分复用(SDM)及它们的组合复用技术。由于它的敏感变化参量为光的波长,所以,不受光源、传输线路损耗等因素所引起的对光强度变化的干扰,并且光纤光栅具有制作简单、体积小、性能稳定可靠、又易与系统及其他光纤器件连接等特点。若将其作为传感部件,可实现实时测量和分布式测量。
由于光纤布拉格(Bragg)光栅对特定波长的光具有反射作用,并且其反射中心波长随着温度、应力等物理量的变化而变化,具有优良的温度和应变响应特性,因此它在传感领域有着非常广泛的应用前景。随着光纤布拉格光栅传感技术在测量方面的广泛应用,为安全技术防范系统的研究提供了广阔的生机。显然,能利用光纤布拉格光栅的应变与温度传感特性制成周界安防及围栏报警系统,因而对它的研究具有很大的实际意义和社会意义。
上面己简述了传统周界围栏报警系统的缺陷及光纤传感的优势,下面再介绍光纤Bragg光栅传感器的原理、优点,基于光纤Bragg光栅传感周界围栏报警系统的组成及工作原理,系统多处侵入定位报警的解决法及其应用与市场前景等。
二、光纤Bragg光栅传感器原理
光纤布拉格光栅FBG(Fiber Bragg Grating)是衍射光栅概念的发展,其衍射是由光纤内部折射率的变化实现的。FBG于1978年问世,它利用掺杂(如锗、磷等)光纤的光敏性,通过紫外写入的方法使外界入射光子和纤芯内的掺杂粒子相互作用,导致纤芯折射率沿纤轴方向周期性或非周期性的永久性变化,在纤芯内形成空间相位光栅,如图1所示。图中,光纤Bragg光栅的周期Λ一般小于1μm。

图1、均匀周期光纤Bragg光栅结构
光纤布拉格(Bragg)光栅FBG传感的基本原理如图2所示。

图2、光纤布拉格(Bragg)光栅传感原理
光纤布拉格(Bragg)光栅传感的原理是,当一束光送进Bragg光纤光栅时,根据光栅理论,在满足Bragg条件的情况下,就会发生全反射,其反射光谱在Bragg波长处出现峰值。光栅受到外部物理场(如应力、应变温度等)的作用时,其栅距Λ随之发生变化,从而改变了后向反射光的波长。根据ΔλB变化的大小就可以确定待测部位相应物理量的变化。
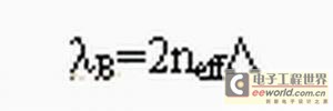
FBG好像一个窄带的反光镜,只反射一个波长而透射其余的波长。被反射的波长称为Bragg波长,满足光纤光栅的Bragg方程式,即满足条件

(1)
式中,∧为Bragg光栅周期;neff为反向耦合模有效折射率。该方程式为光纤光栅在外界作用下Bragg波长的传感响应提供了理论工具,即任何使这两个参量发生改变的过程,都将引起光栅Bragg波长的移位。因此,常见的FBG传感器,就是通过测量布拉格波长的漂移而实现对被测量的检测的。
在所有引起光栅Bragg波长移位的外界因素中,最直接的是应力、应变参量。因为无论是对光栅进行拉伸或挤压,都将导致光栅周期∧的变化,并且光纤本身所具有的弹光效应,使得有效折射率也随着外界应力状态的变化而改变。据此,可用光纤Bragg光栅制成灵敏的光纤传感器。其中,应力引起光栅Bragg波长的移位可以由下式统一描述

(2)
式中,ΔΛ为光纤本身在应力作用下的弹性形变;Δneff为光纤的弹光效应。不同的外界应力状态将导致ΔΛ和Δneff的不同变化。因此,只要检测到反射信号中光栅Bragg波长的移位ΔλB,即可检测到待测传感量的变化。
从弹光效应的角度来看,光纤光栅对纵向压力较横向压力更为敏感。综合弹光和波导两种效应,光纤光栅对于均匀横向应力的灵敏度较纵向伸缩要小,因而在复杂应力情况下,由纵向压力引起的波长移位将会占主要地位。
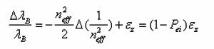
若只考虑轴向应变(即纵向压力)时,则引起中心波长位移的相对变化为

(3)
式中, 为光纤光栅应变灵敏度系数, 为轴向应变。由式(3)可得

(4)
由公式(4)看出,反射波长的变化与应变成正比。也就是说,由反射波长的变化可以得到相应的应变力。
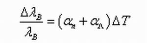
外界温度改变,同样也会引起光纤光栅Bragg波长的移位。从物理本质看,引起波长移位的原因主要有:光纤热光效应、光纤热膨胀效应、光纤内部热应力引起的弹光效应。从光栅Bragg方程式(1)出发,当外界温度改变时,对式(2)展开,可得到温度变化ΔT时所引起的光纤光栅Bragg波长的移位。通过理论推导证实,当材料确定后,光纤光栅对温度的灵敏度系数基本上是与材料系数相关的常数。因此,对于纯熔融石英光纤,当不考虑外界因素的影响时,其温度灵敏度系数基本上取决于材料的折射率温度系数,而弹光效应与波导效应将不对光纤光栅的波长移位造成显着影响。故可得到下列表达式,即

(5)
式中,αn为热光系数;αΛ为线性热膨胀系数。对于熔融石英光纤,αn=0.86×10-5/oC,而αΛ=5.5×10-7/oC。
由式(5)可看出,反射波长的变化与温度变化ΔT成正比。即由反射波长的变化可以得到相应的温度。对1.55μm波长,可得到单位温度变化下引起的波长移位为10.8pm/oC。
一、光纤传感技术与周界围栏报警系统比较
多年来,传统的周界安防或围栏报警系统:如主动红外对射、微波对射、泄漏电缆、振动电缆、电子围栏、电网等,为安全技术防范做出了一定的贡献。但是,受一些客观技术条件等因素所限,还存在着一定的缺陷:如主动红外对射的围栏报警系统,易受地形条件的高低、曲折、转弯、折弯等环境限制,而且它们不适合恶劣气候,容易受高温、低温、强光、灰尘、雨、雪、 雾、霜等自然气候的影响,易出现误报率;再如泄露电缆、振动电缆、电子围栏、电网等围栏报警系统,均属于有源的电传感,系统功耗很大;且电子围栏、电网等又有一定危害性;它们又易受电磁干扰、信号干扰、串扰等,而使灵敏性下降,误报率、漏报率上升等。
与上述周界安防或围栏报警系统相比,利用光电技术中的新型光纤传感技术做成的周界安防或围栏报警系统具有非常明显的技术优势:
(1)抗电磁干扰,电绝缘性好、安全可靠,耐腐蚀、化学性能稳定,因而完全不受雷电影响,能在恶劣的化学环境、野外环境及强电磁干扰等场所下工作;
(2)体积小、重量轻,几何形状可塑,传输损耗小,传输容量大,具有非常好的可靠性和稳定性;
(3)不仅能发现外界扰动,而且可确定外界扰动的位置,系统具有成本低、结构简单、便于扩展与安装容易;
(4)无辐射、无易燃易爆材料,既防水又环保;
(5)能源依赖性低,可大大节省供电设备与线路的成本,适合长距离使用;
(6)可根据被测对象的情况选择不同的检测方法,再加上其对被测介质影响小,所以它非常有利于在结构检测等具有复杂环境的领域中应用等。
周界安防或围栏报警系统,在光纤传感技术中可利用两种光纤传感器来实现:一是利用光纤Bragg光栅分布式光纤传感器;二是利用光纤干涉型光纤传感器。本文讨论前者,后者己另外撰文介绍。
近年来,光纤传感技术中的光纤光栅是发展最为迅速、应用最为广泛的光纤无源器件之一。光纤光栅传感主要优点之一是便于构成分布式传感系统,而构成分布式传感系统最关键技术之一是复用技术,包括波分复用(WDM)、时分复用(TDM)、空分复用(SDM)及它们的组合复用技术。由于它的敏感变化参量为光的波长,所以,不受光源、传输线路损耗等因素所引起的对光强度变化的干扰,并且光纤光栅具有制作简单、体积小、性能稳定可靠、又易与系统及其他光纤器件连接等特点。若将其作为传感部件,可实现实时测量和分布式测量。
由于光纤布拉格(Bragg)光栅对特定波长的光具有反射作用,并且其反射中心波长随着温度、应力等物理量的变化而变化,具有优良的温度和应变响应特性,因此它在传感领域有着非常广泛的应用前景。随着光纤布拉格光栅传感技术在测量方面的广泛应用,为安全技术防范系统的研究提供了广阔的生机。显然,能利用光纤布拉格光栅的应变与温度传感特性制成周界安防及围栏报警系统,因而对它的研究具有很大的实际意义和社会意义。
上面己简述了传统周界围栏报警系统的缺陷及光纤传感的优势,下面再介绍光纤Bragg光栅传感器的原理、优点,基于光纤Bragg光栅传感周界围栏报警系统的组成及工作原理,系统多处侵入定位报警的解决法及其应用与市场前景等。
二、光纤Bragg光栅传感器原理
光纤布拉格光栅FBG(Fiber Bragg Grating)是衍射光栅概念的发展,其衍射是由光纤内部折射率的变化实现的。FBG于1978年问世,它利用掺杂(如锗、磷等)光纤的光敏性,通过紫外写入的方法使外界入射光子和纤芯内的掺杂粒子相互作用,导致纤芯折射率沿纤轴方向周期性或非周期性的永久性变化,在纤芯内形成空间相位光栅,如图1所示。图中,光纤Bragg光栅的周期Λ一般小于1μm。

图1、均匀周期光纤Bragg光栅结构
光纤布拉格(Bragg)光栅FBG传感的基本原理如图2所示。

图2、光纤布拉格(Bragg)光栅传感原理
光纤布拉格(Bragg)光栅传感的原理是,当一束光送进Bragg光纤光栅时,根据光栅理论,在满足Bragg条件的情况下,就会发生全反射,其反射光谱在Bragg波长处出现峰值。光栅受到外部物理场(如应力、应变温度等)的作用时,其栅距Λ随之发生变化,从而改变了后向反射光的波长。根据ΔλB变化的大小就可以确定待测部位相应物理量的变化。
FBG好像一个窄带的反光镜,只反射一个波长而透射其余的波长。被反射的波长称为Bragg波长,满足光纤光栅的Bragg方程式,即满足条件

(1)
式中,∧为Bragg光栅周期;neff为反向耦合模有效折射率。该方程式为光纤光栅在外界作用下Bragg波长的传感响应提供了理论工具,即任何使这两个参量发生改变的过程,都将引起光栅Bragg波长的移位。因此,常见的FBG传感器,就是通过测量布拉格波长的漂移而实现对被测量的检测的。
在所有引起光栅Bragg波长移位的外界因素中,最直接的是应力、应变参量。因为无论是对光栅进行拉伸或挤压,都将导致光栅周期∧的变化,并且光纤本身所具有的弹光效应,使得有效折射率也随着外界应力状态的变化而改变。据此,可用光纤Bragg光栅制成灵敏的光纤传感器。其中,应力引起光栅Bragg波长的移位可以由下式统一描述

(2)
式中,ΔΛ为光纤本身在应力作用下的弹性形变;Δneff为光纤的弹光效应。不同的外界应力状态将导致ΔΛ和Δneff的不同变化。因此,只要检测到反射信号中光栅Bragg波长的移位ΔλB,即可检测到待测传感量的变化。
从弹光效应的角度来看,光纤光栅对纵向压力较横向压力更为敏感。综合弹光和波导两种效应,光纤光栅对于均匀横向应力的灵敏度较纵向伸缩要小,因而在复杂应力情况下,由纵向压力引起的波长移位将会占主要地位。
若只考虑轴向应变(即纵向压力)时,则引起中心波长位移的相对变化为

(3)
式中, 为光纤光栅应变灵敏度系数, 为轴向应变。由式(3)可得

(4)
由公式(4)看出,反射波长的变化与应变成正比。也就是说,由反射波长的变化可以得到相应的应变力。
外界温度改变,同样也会引起光纤光栅Bragg波长的移位。从物理本质看,引起波长移位的原因主要有:光纤热光效应、光纤热膨胀效应、光纤内部热应力引起的弹光效应。从光栅Bragg方程式(1)出发,当外界温度改变时,对式(2)展开,可得到温度变化ΔT时所引起的光纤光栅Bragg波长的移位。通过理论推导证实,当材料确定后,光纤光栅对温度的灵敏度系数基本上是与材料系数相关的常数。因此,对于纯熔融石英光纤,当不考虑外界因素的影响时,其温度灵敏度系数基本上取决于材料的折射率温度系数,而弹光效应与波导效应将不对光纤光栅的波长移位造成显着影响。故可得到下列表达式,即

(5)
式中,αn为热光系数;αΛ为线性热膨胀系数。对于熔融石英光纤,αn=0.86×10-5/oC,而αΛ=5.5×10-7/oC。
由式(5)可看出,反射波长的变化与温度变化ΔT成正比。即由反射波长的变化可以得到相应的温度。对1.55μm波长,可得到单位温度变化下引起的波长移位为10.8pm/oC。
- 一种新型防伪读码器的设计(01-01)
- 新型锁相环芯片全面提升红外无线麦克风产品性能(05-04)
- 2009视频监控:网络化及其推动的几大趋势(06-03)
- 红外摄像机夜视监控系统的四项问题(06-16)
- lns构架智能小区安防及关键技术应用研究(06-09)
- 英国试图利用路灯建城市监控无线网络(07-27)
