基于MSP430的无线传感器节点动态功率管理研究
时间:12-08
来源:互联网
点击:
无线传感器网络是由多个带有传感器、数据处理单元和通信模块的节点组织而成的网络,因为在军事、工业、医疗、农业等领域的巨大应用前景而成为近年来的研究热点。由于无线传感器节点通常工作在人们难以触及的环境中,并且节点能量有限,难以补充,所以降低功耗、延长使用寿命成为无线传感器网络设计的核心问题。因此,传感器网络的体系结构、通信协议、算法、电路和感知都必须满足能量有效性。就降低单个无线传感器节点功耗而言,除在硬件设计时采用低功耗元件外,动态功率管理(Dynamic Power Management,DPM)和动态电压调节(Dynamic Voltage Supply,DVS)都能有效地降低系统功耗。DPM的基本原理是传感器节点内部各个设备根据需求在不同工作状态下进行转换,减少节点不必要的开支,DPM能尽可能使系统各部分运行在节能模式下,从而降低系统功耗。本文从低功耗设计的角度出发,介绍了无线传感器节点系统组成,分析了DPM原理及其算法,研究了混合自动控制并对其进行改进,最后通过在MSP430和nRF905无线加速度传感器系统中介绍了改进的混合自动控制算法的应用。
1 系统组成及低功耗设计
系统组成如图1所示,数据处理单元采用TI公司MSP430系列单片机,无线收发模块采用Nordic公司的nRF905。目前国内外出现了许多典型的无线传感器网络硬件平台,其中MSP430系列单片机以其卓越的性能和超低功耗特性,在电池供电的无线传感器节点设计中具有独特的优势。其低功耗特性有:CPU和外围模块可以在不同时钟下运行,外围模块在不使用时可以关闭以节省能耗;处理器的功耗与工作频率成比例,工作在低频方式下将大大降低处理器的功耗;CPU功耗可以通过开关状态寄存器的控制位来控制:正常运行时电流为160μA,备用时仅为O.1-μA,功耗极低,为设计低功耗系统提供了有利的条件。nRF905无线收发芯片具有功耗低、控制简单、可自动处理字头和CRC校验的优点,MSP-430通过SPI接口及相关指令访问nRF905的内部寄存器。SCA3000-D1是VTI公司的全数字化低功耗三轴加速度传感器,量程±2g,电源电压3.3 V,64组缓冲存储器记录数据,在系统一级上面,有先进的性能和有效节能方式,频响可选,SPI数字串口通信,抗冲击力强,可以运用于许多恶劣的条件下,但是其没有低功耗模式,通过对其电源模块的关断管理进行节能处理。根据传感器测得的倾斜角的连续变化,对系统进行合适的操作,当传感器数据变化到临界点时,使nRF905,MSP430进入不同的功耗模式,通过MSP430控制SCA3000的数据采集,从而有效地降低功耗。整个系统具有电路简单、功耗低、操作灵活、稳定性高、抗干扰能力强等特点。

2 DPM基本原理
无线传感器网络节点内部模块存在着多种工作状态,假定每个节点都有相同的模块元件,如CPU、存储器、传感器、无线收发器,DPM通过转换工作状态,使系统各个部分运行在节能模式下。把节点的功率状态分为Sk(k=O,1,2,3,4)五个部分。其中:S0表示活动状态,此时节点消耗的功率最大;S4表示睡眠状态,此状态下大部分元件处于关闭状态,此时的功耗最小。假设节点Nk在某时刻有事件发生,Nk在t1时刻完成事件的处理,下一事件发生在 t2=t1+ti时刻,在t1时刻,节点决定从状态S0转换到状态Sk,如图2所示

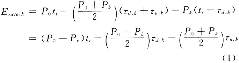
状态Sk的功率为Pk,状态转换时间和恢复时间分别为τd,k和τu,k,定义i>j,τd,i>τd,j和τu,i>τu,j,则节点转入状态Sk节省的能量为Esave,k,可由等式确定:

只有当Esave,k>O时。式(1)才有意义。式中:P0为传感器处于激活状态时的功率;Pk为睡眠状态为Sk时的传感器节点功率;τd,k(τu,k)为传感器从激活状态S0(睡眠Sk)到睡眠状态Sk(激活状态S0)的转换时间。
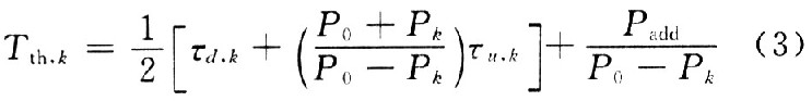
理想状态下,传感器节点在完成任务后迅速进入睡眠状态并在下一事件到达时迅速进入活动状态,能最大程度地节省能耗,根据式(1)可得门限时间:

但事实上,节点的状态转换也存在较大的能量消耗和延迟。因此,在进入睡眠状态时,节点应首先在寄存器上保存之前的数据和参数。同时,激活节点仍然需要大量的能耗和额外的时间,低功耗模式下消耗的能量越少,转换到活动模式时带来的延迟就越大,所以,应考虑到状态转换额外的能耗Padd。当且仅当 Esave,k>Padd时,系统才有意义,因此,可以得出门限时间:

Tth,k代表传感器节点的门限时间。在节点的非完全关闭状态,事件到达,系统可以自动转入激活的工作状态,对于完全关闭的状态S4,由于节点的大部分元件都处于关闭状态,节点无法检测到事件和收到信息,所以一些事件将会丢失,根据剩余能量,得出S4的门限时间为:

式中:Vstd代表标准工作电压,Vpre代表当前电压。
1 系统组成及低功耗设计
系统组成如图1所示,数据处理单元采用TI公司MSP430系列单片机,无线收发模块采用Nordic公司的nRF905。目前国内外出现了许多典型的无线传感器网络硬件平台,其中MSP430系列单片机以其卓越的性能和超低功耗特性,在电池供电的无线传感器节点设计中具有独特的优势。其低功耗特性有:CPU和外围模块可以在不同时钟下运行,外围模块在不使用时可以关闭以节省能耗;处理器的功耗与工作频率成比例,工作在低频方式下将大大降低处理器的功耗;CPU功耗可以通过开关状态寄存器的控制位来控制:正常运行时电流为160μA,备用时仅为O.1-μA,功耗极低,为设计低功耗系统提供了有利的条件。nRF905无线收发芯片具有功耗低、控制简单、可自动处理字头和CRC校验的优点,MSP-430通过SPI接口及相关指令访问nRF905的内部寄存器。SCA3000-D1是VTI公司的全数字化低功耗三轴加速度传感器,量程±2g,电源电压3.3 V,64组缓冲存储器记录数据,在系统一级上面,有先进的性能和有效节能方式,频响可选,SPI数字串口通信,抗冲击力强,可以运用于许多恶劣的条件下,但是其没有低功耗模式,通过对其电源模块的关断管理进行节能处理。根据传感器测得的倾斜角的连续变化,对系统进行合适的操作,当传感器数据变化到临界点时,使nRF905,MSP430进入不同的功耗模式,通过MSP430控制SCA3000的数据采集,从而有效地降低功耗。整个系统具有电路简单、功耗低、操作灵活、稳定性高、抗干扰能力强等特点。

2 DPM基本原理
无线传感器网络节点内部模块存在着多种工作状态,假定每个节点都有相同的模块元件,如CPU、存储器、传感器、无线收发器,DPM通过转换工作状态,使系统各个部分运行在节能模式下。把节点的功率状态分为Sk(k=O,1,2,3,4)五个部分。其中:S0表示活动状态,此时节点消耗的功率最大;S4表示睡眠状态,此状态下大部分元件处于关闭状态,此时的功耗最小。假设节点Nk在某时刻有事件发生,Nk在t1时刻完成事件的处理,下一事件发生在 t2=t1+ti时刻,在t1时刻,节点决定从状态S0转换到状态Sk,如图2所示

状态Sk的功率为Pk,状态转换时间和恢复时间分别为τd,k和τu,k,定义i>j,τd,i>τd,j和τu,i>τu,j,则节点转入状态Sk节省的能量为Esave,k,可由等式确定:

只有当Esave,k>O时。式(1)才有意义。式中:P0为传感器处于激活状态时的功率;Pk为睡眠状态为Sk时的传感器节点功率;τd,k(τu,k)为传感器从激活状态S0(睡眠Sk)到睡眠状态Sk(激活状态S0)的转换时间。
理想状态下,传感器节点在完成任务后迅速进入睡眠状态并在下一事件到达时迅速进入活动状态,能最大程度地节省能耗,根据式(1)可得门限时间:

但事实上,节点的状态转换也存在较大的能量消耗和延迟。因此,在进入睡眠状态时,节点应首先在寄存器上保存之前的数据和参数。同时,激活节点仍然需要大量的能耗和额外的时间,低功耗模式下消耗的能量越少,转换到活动模式时带来的延迟就越大,所以,应考虑到状态转换额外的能耗Padd。当且仅当 Esave,k>Padd时,系统才有意义,因此,可以得出门限时间:

Tth,k代表传感器节点的门限时间。在节点的非完全关闭状态,事件到达,系统可以自动转入激活的工作状态,对于完全关闭的状态S4,由于节点的大部分元件都处于关闭状态,节点无法检测到事件和收到信息,所以一些事件将会丢失,根据剩余能量,得出S4的门限时间为:

式中:Vstd代表标准工作电压,Vpre代表当前电压。
传感器 电路 电压 MSP430 单片机 电流 电源模块 收发器 相关文章:
- 多核及虚拟化技术在工业和安全领域的应用(05-23)
- 基于ARM核的AT75C220及其在指纹识别系统中的应用(05-24)
- 基于音频信号的轴承故障诊断方法(03-17)
- 采用信号调理IC驱动应变片电桥传感器(05-26)
- 基于nRF2401智能无线火灾监控系统设计(04-01)
- 家居安防无线监控报警系统(04-02)
