基于LMS自适应噪声抵消法的无位置传感器研究
时间:12-07
来源:互联网
点击:
在无刷直流电机伺服控制系统中,无位置传感器的位置检测是关键。无位置传感器具有体积小、精度高、可靠性好、易于维护等优点,在伺服系统中得到广泛的应用。常用的转子位置检测法有反电动势法、磁链估计法、卡尔曼滤波等技术,比较成熟和常用的是反电动势检测技术。他是通过测量三相端电压,检测反电势过零点得到转子相位信号进行换相。但是在低速的情况下,由于噪声的干扰,反电动势的幅值相对于噪声信号小,不易检测出反电动势,从而引起电机失步。自适应噪声抵消法是以噪声干扰信号为处理对象,利用噪声信号和原始被测信号不相关的特点,自适应地调整滤波器的传递特性,将噪声干扰抑制或者非常大的衰减,提高信号传输中的信噪比。而自适应LMS滤波算法计算简单,易于实时信号处理,运用广泛。因此本文提出基于自适应噪声抵消技术的反电动势检测法,以中心点作为干扰信号,端电压作为带干扰信号的信号源,利用信号源和噪声干扰不相关的特性,提炼出反电动势而获得过零点进行位置检测。
1设计原理
1.1 自适应噪声基本原理
信号源被传送到信号传感器,会附加不相关的噪声n(k),合并的信号为y(k)=s(k)+n(k)进入抵消器。噪声传感器的输出x(k)经参数可调的数字滤波器后送入抵消器产生的输出信号x(k),根据两噪声信号相关和信号噪声独立的特性,利用自适应算法调节数字滤波器的参数,使得输出信号z(k)逼近信号源迭加的噪声n(k),这样抵消器的输出信号e(k)逼近被测信号s(k)。如图1所示。

1.2 自适应滤波算法
自适应滤波采用的最优准则有最小均方误差准则、最小二乘准则、最大信噪比准则、最大似然准则、统计检测准则以及一些改进的最优准则。这里可以采用最小均方差误差准则。
LMS算法是用瞬时功率梯度代替均方误差梯度矢量的方法,即:

迭代算法步骤如下:
(1)初始化,选定初始权值ω(k)。
(2)计算k时刻滤波器的输出为z(k)=ωT(k)x(k)。
(3)抵消器误差输出e(n)e(k)=y(k)-z(k)。
(4)下一时刻权向量更新为w(k+1)=ω(k)+2μe(k)x(k)。
(5)k=k+1,跳转到步骤(2),重复迭代,直到算法收敛。
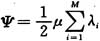
算法稳定性取决于两个因素,自适应步长参数μ和自相关矩阵R。算法收敛件是0<μ<1/λmax,λmax是相关矩阵R的最大特征值,权值向量趋近最佳维纳解。μ的取值和滤波器的阶数成反比,根据滤波器的阶数取不同的步长,可以保证较好的处理结果。另一个指标参数Ψ衡量稳态失调量,定义为平均超调均方误差和最小均方误差之比。失调近似表示为

,Ψ和μ成正比。当滤波器阶数一定时,μ的大小控制着算法的收敛速度和达到稳态的失调量的大小。收敛速度和失调量是一对矛盾,选用较大的μ,有较快的收敛速度,但是由于大的卢值相应的信噪比小,会导致较大的失调量;过渡过程出现振荡,不能收敛。μ取值过小信噪比大,但收敛速度会很慢,所以取值要折中。
1.3 无刷直流电机无位置检测
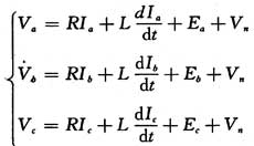
如图2所示,Vx为某一相对地端电压,三相绕组星型连接,Vn为中心点对地电压,EX是反电动势,R,L,IX分别为相电阻、相电感和相电流。绕组等效电路方程为:

对于星型两相导通,三相电流之和等于0,导通两相反电动势大小相等,方向相反,在未导通相反电势过零瞬间,将三个方程相加得到:

由上式可以很容易检测到反电势过零点,移相30°即可得到换相点。低速时反电势淹没在噪声信号中不易检测。运用噪声抵消技术,将中心点Vn作为噪声源,端电压Vk为信号源,经自适应滤波器处理后,噪声输出在幅值和相位上逼近Vn,和VK相减输出反电势。

2 计算机仿真分析及性能分析
运用Matlab对自适应滤波器进行模拟仿真,可以很容易地观察波形,为此笔者编制相应程序,得到输入信号源波形曲线、权矢量迭代曲线和输出误差波形曲线。
这里信号源采用正弦波混合高斯白噪声,正弦波信号s=sin*(0.05*n),干扰噪声randn(1,2^10)呈(0,1)正态分布,横坐标迭代1 024个数据点,步长参数μ取0.001,FIR阶数取10,可以完全模拟无刷直流电的端电压和中心点电压信号。

从仿真结果看出,在第一幅仿真曲线表示的原始信号中,正弦信号完全掩盖在噪声信号中,很难用通用的滤波方法提取出来。采用LMS的自适应FIR滤波方法后,在第二幅曲线图中,可以得到噪声抵消后有用的正弦信号波形曲线。输出e(n)经过一段时间振荡幅值逐渐减小,接近期望正弦信号。第三幅权矢量变化图中,随着e(n)收敛,W逐渐趋向最佳滤波系数W0。
3 自适应滤波器的DSP实现
TMS230LF240X系列芯片是TI公司生产的24X系列定点DSP产品,具有处理性能好,外设集成度高、程序存储量大、A/D转换速度快、I/O口资源丰富等优点,性能优越、功耗小、成本低,可以对电机进行高效实用的数字化控制。这里利用DSP的部分模块完成自适应LMS噪声抵消功能。
1设计原理
1.1 自适应噪声基本原理
信号源被传送到信号传感器,会附加不相关的噪声n(k),合并的信号为y(k)=s(k)+n(k)进入抵消器。噪声传感器的输出x(k)经参数可调的数字滤波器后送入抵消器产生的输出信号x(k),根据两噪声信号相关和信号噪声独立的特性,利用自适应算法调节数字滤波器的参数,使得输出信号z(k)逼近信号源迭加的噪声n(k),这样抵消器的输出信号e(k)逼近被测信号s(k)。如图1所示。

1.2 自适应滤波算法
自适应滤波采用的最优准则有最小均方误差准则、最小二乘准则、最大信噪比准则、最大似然准则、统计检测准则以及一些改进的最优准则。这里可以采用最小均方差误差准则。
LMS算法是用瞬时功率梯度代替均方误差梯度矢量的方法,即:

迭代算法步骤如下:
(1)初始化,选定初始权值ω(k)。
(2)计算k时刻滤波器的输出为z(k)=ωT(k)x(k)。
(3)抵消器误差输出e(n)e(k)=y(k)-z(k)。
(4)下一时刻权向量更新为w(k+1)=ω(k)+2μe(k)x(k)。
(5)k=k+1,跳转到步骤(2),重复迭代,直到算法收敛。
算法稳定性取决于两个因素,自适应步长参数μ和自相关矩阵R。算法收敛件是0<μ<1/λmax,λmax是相关矩阵R的最大特征值,权值向量趋近最佳维纳解。μ的取值和滤波器的阶数成反比,根据滤波器的阶数取不同的步长,可以保证较好的处理结果。另一个指标参数Ψ衡量稳态失调量,定义为平均超调均方误差和最小均方误差之比。失调近似表示为

,Ψ和μ成正比。当滤波器阶数一定时,μ的大小控制着算法的收敛速度和达到稳态的失调量的大小。收敛速度和失调量是一对矛盾,选用较大的μ,有较快的收敛速度,但是由于大的卢值相应的信噪比小,会导致较大的失调量;过渡过程出现振荡,不能收敛。μ取值过小信噪比大,但收敛速度会很慢,所以取值要折中。
1.3 无刷直流电机无位置检测
如图2所示,Vx为某一相对地端电压,三相绕组星型连接,Vn为中心点对地电压,EX是反电动势,R,L,IX分别为相电阻、相电感和相电流。绕组等效电路方程为:

对于星型两相导通,三相电流之和等于0,导通两相反电动势大小相等,方向相反,在未导通相反电势过零瞬间,将三个方程相加得到:

由上式可以很容易检测到反电势过零点,移相30°即可得到换相点。低速时反电势淹没在噪声信号中不易检测。运用噪声抵消技术,将中心点Vn作为噪声源,端电压Vk为信号源,经自适应滤波器处理后,噪声输出在幅值和相位上逼近Vn,和VK相减输出反电势。

2 计算机仿真分析及性能分析
运用Matlab对自适应滤波器进行模拟仿真,可以很容易地观察波形,为此笔者编制相应程序,得到输入信号源波形曲线、权矢量迭代曲线和输出误差波形曲线。
这里信号源采用正弦波混合高斯白噪声,正弦波信号s=sin*(0.05*n),干扰噪声randn(1,2^10)呈(0,1)正态分布,横坐标迭代1 024个数据点,步长参数μ取0.001,FIR阶数取10,可以完全模拟无刷直流电的端电压和中心点电压信号。

从仿真结果看出,在第一幅仿真曲线表示的原始信号中,正弦信号完全掩盖在噪声信号中,很难用通用的滤波方法提取出来。采用LMS的自适应FIR滤波方法后,在第二幅曲线图中,可以得到噪声抵消后有用的正弦信号波形曲线。输出e(n)经过一段时间振荡幅值逐渐减小,接近期望正弦信号。第三幅权矢量变化图中,随着e(n)收敛,W逐渐趋向最佳滤波系数W0。
3 自适应滤波器的DSP实现
TMS230LF240X系列芯片是TI公司生产的24X系列定点DSP产品,具有处理性能好,外设集成度高、程序存储量大、A/D转换速度快、I/O口资源丰富等优点,性能优越、功耗小、成本低,可以对电机进行高效实用的数字化控制。这里利用DSP的部分模块完成自适应LMS噪声抵消功能。
传感器 电压 滤波器 电阻 电感 电流 电路 仿真 DSP ADC 低通滤波器 相关文章:
- 多核及虚拟化技术在工业和安全领域的应用(05-23)
- 基于ARM核的AT75C220及其在指纹识别系统中的应用(05-24)
- 基于音频信号的轴承故障诊断方法(03-17)
- 采用信号调理IC驱动应变片电桥传感器(05-26)
- 基于nRF2401智能无线火灾监控系统设计(04-01)
- 家居安防无线监控报警系统(04-02)
