基于最大峰度准则的非因果AR系统盲辨识
时间:11-24
来源:互联网
点击:
一、引言
在地震勘探、通讯和水声信号处理等许多领域,经常需要辨识非因果系统.要解决这类非因果系统的盲辨识问题、单靠相关函数是不够的,因为它不包含系统的相位信息.
基于高阶统计量的系统辨识方法在近年来受到了高度的重视.同基于相关函数的传统辨识方法相比较,高阶统计量的优点在于:1.可保留系统的相位信息,从而有效地辨识非最小相位、非因果系统.2.可以抑制加性有色噪声的影响,提高算法的鲁棒性.在各种高阶统计量中,四阶统计量由于计算相对简单,可以处理对称分布信号而受到人们的特别重视,成为许多算法的基础.
在文献的基础上,本文提出了最大峰度准则,并将其应用到非因果系统的辨识中.通过非线性优化中的梯度法,本文设计了一种AR系统的盲辨识算法,并证明了它的全局收敛性,给出了算法在平衡点附近的收敛速度.算法通过构造逆滤波器的方法来进行盲辨识,同时通过基于高阶累积量的自学习算法用逆滤波器的系数逼近AR系统的参数.这个算法可以辩识非因果系统并且也可用于反卷积或者盲均衡.由于采用了高阶累积量,算法对高斯观测噪声有较好的鲁棒性.
二、基于最大峰度准则的系统辨识算法
设有一未知的线性时不变系统H,其输入序列{u(n)}也未知,我们只观测到其输出序列{x(n)},n=0,1,…,N-1,其中N为测量序列的长度.系统模型为
x(n)=u(n)*h(n)+w(n) (1)
其中{w(n)}是量测噪声.h(n)是未知的线性时不变系统H的单位脉冲响应.
对这个模型中的信号特性做如下假设:
(A1)线性时不变系统H是稳定的,但它不一定是最小相位,也不一定是因果的,它存在一个稳定的逆系统H-1.
(A2){u(n)}是平稳的零均值非高斯实信号,而且是一个独立同分布信号,它的m阶累积量γm存在,m
3.加性噪声{w(n)}服从高斯分布,其统计特性未知,且与输入信号{u(n)}相独立.
设对逆系统H-1的估计为V,则V的输出{y(n)}为
y(n)=x(n)*v(n)=u(n)*g(n)+w′(n) (2)
其中w′(n)=w(n)*v(n)仍为一高斯噪声,g(n)是由下式给出的稳定的滤波器
g(n)=h(n)*v(n) (3)
与通常的峰度定义不同,定义信号x(t)的(规范化的)峰度K42x为
K42x=c4x(0,0,0)/[c2x(0)]2=γ4x/[σ2x]2 (4)
为了克服Shalvi & Weinstein提出的准则[2]中要求信号的方差相等的限制,可以把式(4)定义的(规范化)的峰度值做为准则函数,这使它更适合于实际应用环境定义的准则函数为
J(v(n))=|K42y|=|γ4y/(σ2y)2| (5)
需要说明的是,这个准则函数实际上是Chi & Wu[3]提出的一大类准则函数中的一个特例.他们提出的准则函数为:
Jl+s,2s(v(n))=|γl+s,y|2s/|γ2s,y|l+s (6)
其中l>s
1.
显然,式(5)是式(6)在l=3,s=1时的特例.该准则函数的有效性在[3]中得到了证明,但本文将证明基于式(5)这个准则的算法的全局收敛性和收敛速度.
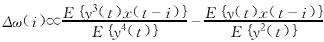
对于非因果AR系统,其逆滤波器是一个因果MA系统和一个反因果MA系统的极联,设这两个系统分别为ω(i)和

(i).针对上面的准则函数,可以利用非线性优化中的梯度法,得到ω(i)和

(i)的自学习算法为:

(7)
(8)
式中的数学期望在实际应用中都由相应的均值估计代替.当K42x为正时,x(t)为所谓超值,保证K42y不断向正的方向增大;当K42x为负时,x(t)为亚高斯(Sub-Gaussian)信号,α取负值,K42y不断减小,|K42y|增大.
三、算法的全局收敛性
因为本文采是非线性优化方法,这就必然涉及到一个问题:算法收敛到的是全局极值点还是局部极值点?下面的定理表明算法必然收敛到全局极值点.
定理:式(7),式(8)的算法的收敛点是全局极值点.
证明:根据输入和输出之间高阶累积量的关系,可以把准则函数改写为
J(v(n))=|K42u|∑g4(n)/[∑g2(n)]2 (9)
去掉其中与输入有关的常数,可以把目标函数进一步简化为
J(g(n))=∑g4(n)/[∑g2(n)]2 (10)
由式(10),得到下列驻点方程

j=1,2,… (11)
由式(11),驻点为g(j)=0或g2(j)=c,其中c=∑g4(i)/∑g2(i)为一常数.为了便于叙述,定义由驻点gM(j)组成的集合GM,M=1,2,…,即
GM={gM:gM(j)符合式(11),且gM中有M个非零元素} (12)
由文献[3]关于准则有效性的证明,知道G1是由所有全局极值点组成的集合,下面证明GM,M

2是由不稳定平衡点(鞍点)组成的集合,即利用本算法不会收敛到局部极值点.
假定

∈GM为
(13)
其中IM=(k1,…,KM)是一个有M个不重复正整数的集合.构造一个向量

.
(14)
它的准则函数为
(15)
只要ε>0,上面的不等式就严格成立.也就是说,在

的任何小的领域里,总存在

使得J(
)>J(),所以

∈GM不可能是局部极大值.下面证明它也不是局部极小值.
设kM+1

IM,构造如下的一个向量g)
(16)
它的准则函数为
(17)
因为c>ε>0,上面的不等式严格成立,所以
∈GM不可能是局部极小值.综上所述,
∈GM,M
2是准则函数的不稳定平衡点.因此按照式(7),式(8)的梯度寻优算法收敛到的必然是全局极值点.证毕.
上述定理表明,本算法对任何初始值都不会收敛到不希望的局部极值点,这无疑是一个非常可贵的性质.本文例2的仿真结果说明了这一性质.
在地震勘探、通讯和水声信号处理等许多领域,经常需要辨识非因果系统.要解决这类非因果系统的盲辨识问题、单靠相关函数是不够的,因为它不包含系统的相位信息.
基于高阶统计量的系统辨识方法在近年来受到了高度的重视.同基于相关函数的传统辨识方法相比较,高阶统计量的优点在于:1.可保留系统的相位信息,从而有效地辨识非最小相位、非因果系统.2.可以抑制加性有色噪声的影响,提高算法的鲁棒性.在各种高阶统计量中,四阶统计量由于计算相对简单,可以处理对称分布信号而受到人们的特别重视,成为许多算法的基础.
在文献的基础上,本文提出了最大峰度准则,并将其应用到非因果系统的辨识中.通过非线性优化中的梯度法,本文设计了一种AR系统的盲辨识算法,并证明了它的全局收敛性,给出了算法在平衡点附近的收敛速度.算法通过构造逆滤波器的方法来进行盲辨识,同时通过基于高阶累积量的自学习算法用逆滤波器的系数逼近AR系统的参数.这个算法可以辩识非因果系统并且也可用于反卷积或者盲均衡.由于采用了高阶累积量,算法对高斯观测噪声有较好的鲁棒性.
二、基于最大峰度准则的系统辨识算法
设有一未知的线性时不变系统H,其输入序列{u(n)}也未知,我们只观测到其输出序列{x(n)},n=0,1,…,N-1,其中N为测量序列的长度.系统模型为
x(n)=u(n)*h(n)+w(n) (1)
其中{w(n)}是量测噪声.h(n)是未知的线性时不变系统H的单位脉冲响应.
对这个模型中的信号特性做如下假设:
(A1)线性时不变系统H是稳定的,但它不一定是最小相位,也不一定是因果的,它存在一个稳定的逆系统H-1.
(A2){u(n)}是平稳的零均值非高斯实信号,而且是一个独立同分布信号,它的m阶累积量γm存在,m
3.加性噪声{w(n)}服从高斯分布,其统计特性未知,且与输入信号{u(n)}相独立.设对逆系统H-1的估计为V,则V的输出{y(n)}为
y(n)=x(n)*v(n)=u(n)*g(n)+w′(n) (2)
其中w′(n)=w(n)*v(n)仍为一高斯噪声,g(n)是由下式给出的稳定的滤波器
g(n)=h(n)*v(n) (3)
与通常的峰度定义不同,定义信号x(t)的(规范化的)峰度K42x为
K42x=c4x(0,0,0)/[c2x(0)]2=γ4x/[σ2x]2 (4)
为了克服Shalvi & Weinstein提出的准则[2]中要求信号的方差相等的限制,可以把式(4)定义的(规范化)的峰度值做为准则函数,这使它更适合于实际应用环境定义的准则函数为
J(v(n))=|K42y|=|γ4y/(σ2y)2| (5)
需要说明的是,这个准则函数实际上是Chi & Wu[3]提出的一大类准则函数中的一个特例.他们提出的准则函数为:
Jl+s,2s(v(n))=|γl+s,y|2s/|γ2s,y|l+s (6)
其中l>s
1.显然,式(5)是式(6)在l=3,s=1时的特例.该准则函数的有效性在[3]中得到了证明,但本文将证明基于式(5)这个准则的算法的全局收敛性和收敛速度.
对于非因果AR系统,其逆滤波器是一个因果MA系统和一个反因果MA系统的极联,设这两个系统分别为ω(i)和

(i).针对上面的准则函数,可以利用非线性优化中的梯度法,得到ω(i)和

(i)的自学习算法为:

(7)
(8)式中的数学期望在实际应用中都由相应的均值估计代替.当K42x为正时,x(t)为所谓超值,保证K42y不断向正的方向增大;当K42x为负时,x(t)为亚高斯(Sub-Gaussian)信号,α取负值,K42y不断减小,|K42y|增大.
三、算法的全局收敛性
因为本文采是非线性优化方法,这就必然涉及到一个问题:算法收敛到的是全局极值点还是局部极值点?下面的定理表明算法必然收敛到全局极值点.
定理:式(7),式(8)的算法的收敛点是全局极值点.
证明:根据输入和输出之间高阶累积量的关系,可以把准则函数改写为
J(v(n))=|K42u|∑g4(n)/[∑g2(n)]2 (9)
去掉其中与输入有关的常数,可以把目标函数进一步简化为
J(g(n))=∑g4(n)/[∑g2(n)]2 (10)
由式(10),得到下列驻点方程

j=1,2,… (11)
由式(11),驻点为g(j)=0或g2(j)=c,其中c=∑g4(i)/∑g2(i)为一常数.为了便于叙述,定义由驻点gM(j)组成的集合GM,M=1,2,…,即
GM={gM:gM(j)符合式(11),且gM中有M个非零元素} (12)
由文献[3]关于准则有效性的证明,知道G1是由所有全局极值点组成的集合,下面证明GM,M

2是由不稳定平衡点(鞍点)组成的集合,即利用本算法不会收敛到局部极值点.
假定

∈GM为
(13)其中IM=(k1,…,KM)是一个有M个不重复正整数的集合.构造一个向量

.
(14)它的准则函数为
(15)只要ε>0,上面的不等式就严格成立.也就是说,在

的任何小的领域里,总存在

使得J(
)>J(),所以
∈GM不可能是局部极大值.下面证明它也不是局部极小值.
设kM+1

IM,构造如下的一个向量g)
(16)它的准则函数为
(17)因为c>ε>0,上面的不等式严格成立,所以
∈GM不可能是局部极小值.综上所述,
∈GM,M
2是准则函数的不稳定平衡点.因此按照式(7),式(8)的梯度寻优算法收敛到的必然是全局极值点.证毕.上述定理表明,本算法对任何初始值都不会收敛到不希望的局部极值点,这无疑是一个非常可贵的性质.本文例2的仿真结果说明了这一性质.
- 基于nRF2401智能小区无线抄表系统集中器设计(04-30)
- 卫星电源分系统可靠性设计与研究(02-12)
- 新型锁相环芯片全面提升红外无线麦克风产品性能(05-04)
- 基于音频信号的轴承故障诊断方法(03-17)
- 基于nRF2401智能无线火灾监控系统设计(04-01)
- 提高实时系统数据采集质量的研究(04-09)
