中频发电机对检测装置的干扰剖析及EMI滤波实现
时间:10-31
来源:互联网
点击:
1 引言
随着电子信息技术的飞速发展及各类电气、电子、信息设备的日益广泛应用,电磁干扰(EMI)的交互作用使得电子设备中存在着越来越复杂的电磁环境,对各种仪器设备产生越来越大的危害。电子设备受电磁噪声干扰的作用会产生多种危害,在模拟电路中可以引起信号波形的畸变,信噪比降低,甚至信号会完全被EMI所淹没。噪声干扰也会使得数字电路系统中的误码率上升,逻辑电平紊乱,降低系统信息的可靠性,极端情况下导致失控或误操作的严重后果。尤其在一些特殊领域,与一般的电子信息系统相比,电子设备具有密集度高、电磁兼容环境恶劣和可靠性要求高等特点,使得电磁兼容(EMC)技术在该领域的应用具有特殊重要的意义。目前中频发发电机已广泛应用于舰船、飞机、电站等独立的供电系统中,对其EMC的研究逐渐受到关注。由于漏抗的存在,使得中频发电机产生共模干扰,本文针对中频发电机的噪声对某检测装置的影响,提出降低其干扰的技术措施,设计了EMI滤波电路,并对滤波效果进行了实际装载试验,其结果大大提高了该检测装置的性能。
2 发电机噪声对检测装置的危害
在实际装载工作时,检测装置处于恶劣环境下,具有严重的干扰背景,其自噪声是非平稳的和非高斯分布的,接收的信号背景中存在时间弥散、频率弥散、角度弥散以及严重的起伏。检测装置过高的噪声,严重制约了检测性能。然而在众多的动态干扰因素中查找影响检测装置的主要干扰源是一件困难的事情。可以说,确认噪声干扰源是提高检测性能的一个重要环节。
由于中频发电机的工作频率与检测装置的不同,并且其供电又经过检测装置接收机内部的二次电源转换,所以一般认为发电机不会对检测装置造成干扰,在设计时通常只对发电机输出的电压纹波电平提出要求,而对其输出的噪声并未关注。那么,中频发电机是如何影响检测装置的呢?
2.1 发电机对检测装置的干扰原理
图1是检测装置的原理框图。检测装置的发射通道与收/发天线连接,发射大功率探测信号;另一方面收/发天线与接收通道连接,接收微弱信号进行滤波放大及信号处理。中频发电机产生高压供检测装置大功率发射用,产生低压供检测装置的其它电子器件以及系统的其它设备用。发电机对检测装置的干扰正是通过高压供电由发射通道耦合到接收通道的。
检测装置发射与接收分时工作,在接收期间,发射机不工作,但中频发电机始终给发射机供电。在发射通道中设计有隔离电路,在收发转换过程中起着至关重要的作用,必须保证在发射脉冲结束后可靠阻断发射通道的干扰。然而在实际电路中,这种"阻断"能力总是有限的,于是发电机的噪声按照中频发电机-发射通道-收发天线-接收通道的途径,泄漏到接收通道,形成干扰。接收机是一个敏感设备,所接收处理的信号是mV级的小信号,一点点微弱的噪声干扰都可能影响其工作。因此,中频发电机的干扰增加了检测装置接收机的噪声,相关试验证明,可使其自噪声级增加约10~20dB,成为检测装置的主要干扰源,严重影响了系统的检测性能。
2.2 共模干扰与差模干扰
根据文献介绍,共模(Common mode)是指存在于两根或多根导线中,流经所有导线的电流都是同极性的,差模(Differential mode)是指在导线对上的电流极性是相反的。共模干扰的干扰电流在电缆中的所有导线上幅度/相位相同,它在电缆与大地之间形成回路流动,见图2(a)。差模干扰的干扰电流在信号线与信号地线之间流动,见图2(b)。
由于共模干扰与差模干扰的干扰电流在电缆上的流动方式不同,对这两种干扰电流的滤波方法也不相同。因此在进行滤波设计之前必须了解所面对的干扰电流的类型。
2.3 中频发电机产生的共模干扰分析
图3是中频发电机整流原理图,图4为三相全波整流电路,其中(a)为三相半波共阴极组,(b)为三相半波共阳极组,二者的串联即为图3的等效电路。
文献对发电机整流模块产生干扰的机理进行了深入的研究。由于存在漏抗LT,使整流换相不能在瞬间完成,存在一个变化过程,在换相重叠角期间,u1和u2有跳变,从而使整流输出产生共模干扰。
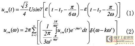
如果三相电源对称的情况下,中频发电机产生共模干扰电压的时域、频域表达式为:
式中,U为电源相电压有效值;ω为电源角频率;γ为三相整流桥的换相重叠角,与中频发电机的漏抗有关;ε(t)为单位阶跃函数;t γ为换相重叠角γ对应的时间;δ(t)为单位脉冲函数;k为自然数。
3 EMI滤波器的设计与实现
为了提高检测装置的信噪比,必须设计合理的EMI滤波器,消除或减小发电机共模干扰对检测装置的影响。
3.
随着电子信息技术的飞速发展及各类电气、电子、信息设备的日益广泛应用,电磁干扰(EMI)的交互作用使得电子设备中存在着越来越复杂的电磁环境,对各种仪器设备产生越来越大的危害。电子设备受电磁噪声干扰的作用会产生多种危害,在模拟电路中可以引起信号波形的畸变,信噪比降低,甚至信号会完全被EMI所淹没。噪声干扰也会使得数字电路系统中的误码率上升,逻辑电平紊乱,降低系统信息的可靠性,极端情况下导致失控或误操作的严重后果。尤其在一些特殊领域,与一般的电子信息系统相比,电子设备具有密集度高、电磁兼容环境恶劣和可靠性要求高等特点,使得电磁兼容(EMC)技术在该领域的应用具有特殊重要的意义。目前中频发发电机已广泛应用于舰船、飞机、电站等独立的供电系统中,对其EMC的研究逐渐受到关注。由于漏抗的存在,使得中频发电机产生共模干扰,本文针对中频发电机的噪声对某检测装置的影响,提出降低其干扰的技术措施,设计了EMI滤波电路,并对滤波效果进行了实际装载试验,其结果大大提高了该检测装置的性能。
2 发电机噪声对检测装置的危害
在实际装载工作时,检测装置处于恶劣环境下,具有严重的干扰背景,其自噪声是非平稳的和非高斯分布的,接收的信号背景中存在时间弥散、频率弥散、角度弥散以及严重的起伏。检测装置过高的噪声,严重制约了检测性能。然而在众多的动态干扰因素中查找影响检测装置的主要干扰源是一件困难的事情。可以说,确认噪声干扰源是提高检测性能的一个重要环节。
由于中频发电机的工作频率与检测装置的不同,并且其供电又经过检测装置接收机内部的二次电源转换,所以一般认为发电机不会对检测装置造成干扰,在设计时通常只对发电机输出的电压纹波电平提出要求,而对其输出的噪声并未关注。那么,中频发电机是如何影响检测装置的呢?
2.1 发电机对检测装置的干扰原理
图1是检测装置的原理框图。检测装置的发射通道与收/发天线连接,发射大功率探测信号;另一方面收/发天线与接收通道连接,接收微弱信号进行滤波放大及信号处理。中频发电机产生高压供检测装置大功率发射用,产生低压供检测装置的其它电子器件以及系统的其它设备用。发电机对检测装置的干扰正是通过高压供电由发射通道耦合到接收通道的。

检测装置发射与接收分时工作,在接收期间,发射机不工作,但中频发电机始终给发射机供电。在发射通道中设计有隔离电路,在收发转换过程中起着至关重要的作用,必须保证在发射脉冲结束后可靠阻断发射通道的干扰。然而在实际电路中,这种"阻断"能力总是有限的,于是发电机的噪声按照中频发电机-发射通道-收发天线-接收通道的途径,泄漏到接收通道,形成干扰。接收机是一个敏感设备,所接收处理的信号是mV级的小信号,一点点微弱的噪声干扰都可能影响其工作。因此,中频发电机的干扰增加了检测装置接收机的噪声,相关试验证明,可使其自噪声级增加约10~20dB,成为检测装置的主要干扰源,严重影响了系统的检测性能。
2.2 共模干扰与差模干扰
根据文献介绍,共模(Common mode)是指存在于两根或多根导线中,流经所有导线的电流都是同极性的,差模(Differential mode)是指在导线对上的电流极性是相反的。共模干扰的干扰电流在电缆中的所有导线上幅度/相位相同,它在电缆与大地之间形成回路流动,见图2(a)。差模干扰的干扰电流在信号线与信号地线之间流动,见图2(b)。

由于共模干扰与差模干扰的干扰电流在电缆上的流动方式不同,对这两种干扰电流的滤波方法也不相同。因此在进行滤波设计之前必须了解所面对的干扰电流的类型。
2.3 中频发电机产生的共模干扰分析
图3是中频发电机整流原理图,图4为三相全波整流电路,其中(a)为三相半波共阴极组,(b)为三相半波共阳极组,二者的串联即为图3的等效电路。


文献对发电机整流模块产生干扰的机理进行了深入的研究。由于存在漏抗LT,使整流换相不能在瞬间完成,存在一个变化过程,在换相重叠角期间,u1和u2有跳变,从而使整流输出产生共模干扰。
如果三相电源对称的情况下,中频发电机产生共模干扰电压的时域、频域表达式为:

式中,U为电源相电压有效值;ω为电源角频率;γ为三相整流桥的换相重叠角,与中频发电机的漏抗有关;ε(t)为单位阶跃函数;t γ为换相重叠角γ对应的时间;δ(t)为单位脉冲函数;k为自然数。
3 EMI滤波器的设计与实现
为了提高检测装置的信噪比,必须设计合理的EMI滤波器,消除或减小发电机共模干扰对检测装置的影响。
3.
电子 模拟电路 电路 EMC 电压 电流 滤波器 低通滤波器 电感 电容 相关文章:
- 一种新型防伪读码器的设计(01-01)
- 基于ARM与DSP的嵌入式运动控制器设计(04-25)
- 航天器DC/DC变换器的可靠性设计(02-12)
- 我国科学家人脸与笔迹识别领域获突破(04-29)
- 基于ARM核的AT75C220及其在指纹识别系统中的应用(05-24)
- 基于nRF2401智能小区无线抄表系统集中器设计(04-30)
