基于Pt100铂热电阻的温度变送器设计与实现
时间:10-28
来源:互联网
点击:
温度是表征物体冷热程度的物理量,在工业生产、生活应用和科学研究中是一个非常重要的参数。在工业控制过程中需要对控制对象进行温度监测,防止控制对象由于温度过高而损坏,因此温度的实时监测就显得更加重要。对温度的实时监测有利于对控制对象的及时检查、保护,并及时调整温度的高低。根据控制系统设计要求的不同,温度监测系统的设计也有所变化,有采用集成芯片的,也有采用恒流源器件和恒压源器件的。因铂热电阻具有测量范围大,稳定性好,示值复现性高和耐氧化等优点,该系统采用Pt100铂热电阻作为温度感测元件,进行温度传感器的设计与实现。在设计中,将电压信号转换为标准的4~20 mA电流信号,既省去昂贵的补偿导线,又提高了信号长距离传送过程中的抗干扰能力。
1 Pt100铂热电阻概述
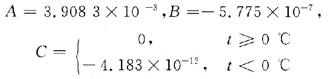
电阻值随温度的变化程度称为温漂系数,大部分金属材料的温漂系数是正数,而且许多纯金属材料的温漂系数在一定温度范围内保持恒定,具体应用中选用哪一种金属材料(铂、铜、镍等)取决于被测温度的范围。金属铂(Pt)电阻的温度响应特性较好,成本较低,可测量温度较高;它在0 ℃的额定电阻值是100 Ω,是一种标准化器件。工作温度范围:-200~+850 ℃,考虑到工业的实际应用,本系统设计的测量范围为0~120℃。因为热敏电阻的阻值和温度呈正比关系,只需知道流过该电阻的电流就可以得到与温度成正比的输出电压。根据已知的电阻-温度关系,可以计算出被测量的温度值。Pt100温度感测器是一种以铂(Pt)做成的电阻式温度检测器,其电阻和温度变化的关系式为:

式中:R0为O ℃下的电阻值,R0=10O Ω;T为摄氏温度。
因此,用铂做成的电阻式温度检测器,又称为Pt100温度传感器,即:

显然,电阻与温度呈非线性关系,但当测量精度要求较低时,电阻值与温度的函数关系可以简化为:

实际应用中,Pt100的连接方式可以为两线制、三线制或四线制。该系统采用三线制接法即可满足要求。二线制连接时,由于引线电阻与Pt100串联,增大了电阻,会影响测量;三线制连接时,对Pt100额外增加了第三条线,由于引线电阻具有相同特性,能够对线电阻进行补偿;四线制连接时,可以实现Kelvin检测,消除了两线连线的压差。
2 系统结构与工作原理
对PtlOO温度传感器进行了硬件设计。其整个数据采集系统结构框图如图1所示。

图1中,利用铂热电阻特性来检测温度,将温度转换成电压信号;再通过V/l转换单元,将电压信号转为4~20 mA的标准电流信号输出,这样既省去昂贵的补偿导线,又提高了信号长距离传送过程中的抗干扰能力;在单片机系统上再由电流电压转换芯片RCV420将4~20 mA转换为O~5 V电压信号。经过A/D转换成数字信号,单片机系统把读取到的数字信号进行识别处理,并换算成与温度对应的数字信号,最后再由液晶显示器显示输出温度值。CPU主要完成对A/D采集到的数据进行处理,包括A/D值的滤波处理和A/D值向实际温度转换,最后送给显示器显示。
3 硬件设计
硬件组成主要由稳定电源电路、运算放大电路、电压电流转换电路、电流电压转换电路四个部分组成。
3.1 稳定电源电路
稳定电源电路如图2所示。LP2951是S1PEX公司推出的低功耗电压调节器,非常适用于一些电池供电系统,如无绳电话、无线控制系统及便携式电脑。具有低静态电流、低压差等特性(轻微负载时,压差为50 mV;100 mA负载时,压差为380 mV)。LP2951具有很小的初始容限(一般0.5%),非常良好的负载及线路调节特性(一般0.05%),并具有非常低的温度系数(20 ppm/℃),因此非常适合用作低功耗电压源。LP-2951可以通过引脚连接得到5 V电压,使用内部分压器通过引脚1(输出)及引脚2(Sense)及引脚7(反馈)到引脚6(5 V端),获得输出、Sense、反馈、5 V端电压。同样,还可以通过1.235 V的参考源获得其他输出电压,最大30 V。

3.2 主电路分析
R7,R8,R4,RP1和Pt100组成传感器测量电桥,为了保证电桥输出电压信号的稳定性,电桥的输入电压由LP2951电源芯片来提供。从电桥获取的差分电压信号通过两级运放放大后,再经过电压/电流转换电路,转换为4~20 mA的标准电流信号输出,因为A/D只能采集电压信号,所以在信号进行A/D采集前,再通过芯片RCV420将4~20 mA转换为O~5 V电压信号。电桥的一个桥臂采用可调电阻RP1,通过调节RP1,可以调整输入到运放的差分电压信号大小,通常用于调整零点。放大电路采用LM258集成运算放大器,为了防止单级放大倍数过高带来的非线性误差,放大电路采用两级放大,其中可调电阻RP2用于调节放大电路的增益。温度在O~+120 ℃变化,当温度上升时,Pt100阻值变大,输入放大电路的差分信号变大,放大电路的输出电压对应地升高,输出电流也相应变大。实际选用的R8阻值比PtlOO高很多,因此Pt100阻值变化引起的测量电流变化不大,获得近似恒流法的线性输出。

1 Pt100铂热电阻概述
电阻值随温度的变化程度称为温漂系数,大部分金属材料的温漂系数是正数,而且许多纯金属材料的温漂系数在一定温度范围内保持恒定,具体应用中选用哪一种金属材料(铂、铜、镍等)取决于被测温度的范围。金属铂(Pt)电阻的温度响应特性较好,成本较低,可测量温度较高;它在0 ℃的额定电阻值是100 Ω,是一种标准化器件。工作温度范围:-200~+850 ℃,考虑到工业的实际应用,本系统设计的测量范围为0~120℃。因为热敏电阻的阻值和温度呈正比关系,只需知道流过该电阻的电流就可以得到与温度成正比的输出电压。根据已知的电阻-温度关系,可以计算出被测量的温度值。Pt100温度感测器是一种以铂(Pt)做成的电阻式温度检测器,其电阻和温度变化的关系式为:

式中:R0为O ℃下的电阻值,R0=10O Ω;T为摄氏温度。
因此,用铂做成的电阻式温度检测器,又称为Pt100温度传感器,即:

显然,电阻与温度呈非线性关系,但当测量精度要求较低时,电阻值与温度的函数关系可以简化为:

实际应用中,Pt100的连接方式可以为两线制、三线制或四线制。该系统采用三线制接法即可满足要求。二线制连接时,由于引线电阻与Pt100串联,增大了电阻,会影响测量;三线制连接时,对Pt100额外增加了第三条线,由于引线电阻具有相同特性,能够对线电阻进行补偿;四线制连接时,可以实现Kelvin检测,消除了两线连线的压差。
2 系统结构与工作原理
对PtlOO温度传感器进行了硬件设计。其整个数据采集系统结构框图如图1所示。

图1中,利用铂热电阻特性来检测温度,将温度转换成电压信号;再通过V/l转换单元,将电压信号转为4~20 mA的标准电流信号输出,这样既省去昂贵的补偿导线,又提高了信号长距离传送过程中的抗干扰能力;在单片机系统上再由电流电压转换芯片RCV420将4~20 mA转换为O~5 V电压信号。经过A/D转换成数字信号,单片机系统把读取到的数字信号进行识别处理,并换算成与温度对应的数字信号,最后再由液晶显示器显示输出温度值。CPU主要完成对A/D采集到的数据进行处理,包括A/D值的滤波处理和A/D值向实际温度转换,最后送给显示器显示。
3 硬件设计
硬件组成主要由稳定电源电路、运算放大电路、电压电流转换电路、电流电压转换电路四个部分组成。
3.1 稳定电源电路
稳定电源电路如图2所示。LP2951是S1PEX公司推出的低功耗电压调节器,非常适用于一些电池供电系统,如无绳电话、无线控制系统及便携式电脑。具有低静态电流、低压差等特性(轻微负载时,压差为50 mV;100 mA负载时,压差为380 mV)。LP2951具有很小的初始容限(一般0.5%),非常良好的负载及线路调节特性(一般0.05%),并具有非常低的温度系数(20 ppm/℃),因此非常适合用作低功耗电压源。LP-2951可以通过引脚连接得到5 V电压,使用内部分压器通过引脚1(输出)及引脚2(Sense)及引脚7(反馈)到引脚6(5 V端),获得输出、Sense、反馈、5 V端电压。同样,还可以通过1.235 V的参考源获得其他输出电压,最大30 V。

3.2 主电路分析
R7,R8,R4,RP1和Pt100组成传感器测量电桥,为了保证电桥输出电压信号的稳定性,电桥的输入电压由LP2951电源芯片来提供。从电桥获取的差分电压信号通过两级运放放大后,再经过电压/电流转换电路,转换为4~20 mA的标准电流信号输出,因为A/D只能采集电压信号,所以在信号进行A/D采集前,再通过芯片RCV420将4~20 mA转换为O~5 V电压信号。电桥的一个桥臂采用可调电阻RP1,通过调节RP1,可以调整输入到运放的差分电压信号大小,通常用于调整零点。放大电路采用LM258集成运算放大器,为了防止单级放大倍数过高带来的非线性误差,放大电路采用两级放大,其中可调电阻RP2用于调节放大电路的增益。温度在O~+120 ℃变化,当温度上升时,Pt100阻值变大,输入放大电路的差分信号变大,放大电路的输出电压对应地升高,输出电流也相应变大。实际选用的R8阻值比PtlOO高很多,因此Pt100阻值变化引起的测量电流变化不大,获得近似恒流法的线性输出。

电阻 传感器 电压 电流 温度传感器 单片机 显示器 电路 放大器 集成电路 万用表 相关文章:
- 一种新型防伪读码器的设计(01-01)
- 航天器DC/DC变换器的可靠性设计(02-12)
- 卫星电源分系统可靠性设计与研究(02-12)
- 采用信号调理IC驱动应变片电桥传感器(05-26)
- 家居安防无线监控报警系统(04-02)
- 安森美90W太阳能LED街灯高能效解决方案(05-18)
