基于TMS320C6711的中心定位实时图象处理系统
时间:09-14
来源:互联网
点击:
2 图象处理算法的实现
中心定位图象处理算法设计以输入图像格式320×240象素,1024灰度级/象素为基础,包括滤波、判断地平圈是否进入视场,边缘检测和精确定中心几个部分。
2.1 滤波
探测器可能存在小于1%的坏单元,其灰度值主要为0或者1023,坏元区范围小于3×3,坏元的存在有可能对边缘检测带来误差,再加上采集到的图像数据信噪比较低,所以采用二维中位数滤波。其做法是:对于一帧图像,采用从上到下、从左到右的方法,移动3×3的窗口,在每一个位置,将有9个图像像素出现在窗口中,对这9个像素灰度值进行排序,使用快速排序法找到处于正中的象素值,把这个值赋给3×3窗口的中心象素,使用这种方法可以有效滤除区域不大于2×2的突发性干扰,从而提高算法精度。
2.2 判断地平圈是否进入视场
当卫星初始进入轨道时,在地平仪初始状态下可能探测不到地球,这时需启动搜索程序控制卫星偏转以搜索地球。因此,必须对所得的地平圈图像采用逐行扫描的搜索方法以判断地球是否进入视场。
2.3 边缘检测
边缘是提取首先检测图像局部特性的不连续性,然后再将这些不连续的边缘象素连成完备的边界,边缘的特性是沿边缘走向的象素变化平缓,而垂直于边缘方向的象素变化剧烈,这个意义上说,提取边缘的算法就是检测符合边缘特性的边缘象素的数学算子。
由于地球的辐射存在不均匀性,所以地平高度与采用的地平检测方式有关,其差别在于对应不同的地平检测方式,具体的地平高度随地球辐射变化程度不同,本文采用比例门限法检测地平圈。具体算法如下:以粗略地心为起点,以0.5度为间隔取720条射线。考虑到只需扫描地球辐射过渡带,所以每条射线的扫描起点距粗略地心为100个单位,间隔一个单位进行一次采样,由于该采样点的坐标不是整型,所以利用双线性内插得到采样点的灰度值,依次判断采样点,一边记录灰度最大值,一边判断灰度值是否小于最大值的一半,当条件成立时,扫描停止,算法灰度值为最大值的50%所对应的坐标,即地平点坐标,扫完720条射线后,所有的地平点构成一个地平圈。该算法对接近过渡带的点进行双线性内插,提高了程序执行效率,检测出的地平点坐标是浮点数,提高了地平判定精度,有利于减小测量地心的误差。
2.4 精确定中心
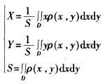
精确定中心是算法中最关键的部分,方法的好坏直接影响地心的精度,一般有霍尔变换法、面积积分和三点均值法等,精确定位采用面积积分法,根据微积分理论,对于一个封闭区域D,其重心坐标可用如下公式得到:

式中,x和y代表单元点的坐标,ρ(x,y)代表单元点的密度,D代表整个区域。
当ρ(x,y)=1时,区域的重心和形心重合,S表示区域的面积,为了能够用计算机计算区域的中心位置,必须对上面的公式离散化,离散化后的公式为:

式中,R(θ)表示对应θi~θi+1范围内的幅值变化规律。
3 实验结果
把CCD拍摄到的图象数据送入该系统处理,每处理完一帧图像就会从串口输出一个姿态角信息,表1是四帧图像的处理结果。从表1可以看出算法的精度优于0.1的指标要求,算法处理时间约为0.49秒,满足一秒处理一帧的实时要求。

由高性能数字信号处理器TMS320C6711B和FPGA组成的实时图象处理系统,实现了图像采集、实时数据处理及输出,利用JTAG接口对系统进行在线调试,使系统具有很好的升级性和扩展性,采用DSP处理器,增强了系统的处理能力,提高了系统处理速度,保证了工作的实时性要求,采用贴片器件,既减小了PCB板的尺寸,又增加了系统的可靠性。实践证明,中心定位算法通过对原始图像滤波、判断目标是否进入视场、边缘检测和精确定中心大大地提高了地平仪的测量精度。
中心定位图象处理算法设计以输入图像格式320×240象素,1024灰度级/象素为基础,包括滤波、判断地平圈是否进入视场,边缘检测和精确定中心几个部分。
2.1 滤波
探测器可能存在小于1%的坏单元,其灰度值主要为0或者1023,坏元区范围小于3×3,坏元的存在有可能对边缘检测带来误差,再加上采集到的图像数据信噪比较低,所以采用二维中位数滤波。其做法是:对于一帧图像,采用从上到下、从左到右的方法,移动3×3的窗口,在每一个位置,将有9个图像像素出现在窗口中,对这9个像素灰度值进行排序,使用快速排序法找到处于正中的象素值,把这个值赋给3×3窗口的中心象素,使用这种方法可以有效滤除区域不大于2×2的突发性干扰,从而提高算法精度。
2.2 判断地平圈是否进入视场
当卫星初始进入轨道时,在地平仪初始状态下可能探测不到地球,这时需启动搜索程序控制卫星偏转以搜索地球。因此,必须对所得的地平圈图像采用逐行扫描的搜索方法以判断地球是否进入视场。
2.3 边缘检测
边缘是提取首先检测图像局部特性的不连续性,然后再将这些不连续的边缘象素连成完备的边界,边缘的特性是沿边缘走向的象素变化平缓,而垂直于边缘方向的象素变化剧烈,这个意义上说,提取边缘的算法就是检测符合边缘特性的边缘象素的数学算子。
由于地球的辐射存在不均匀性,所以地平高度与采用的地平检测方式有关,其差别在于对应不同的地平检测方式,具体的地平高度随地球辐射变化程度不同,本文采用比例门限法检测地平圈。具体算法如下:以粗略地心为起点,以0.5度为间隔取720条射线。考虑到只需扫描地球辐射过渡带,所以每条射线的扫描起点距粗略地心为100个单位,间隔一个单位进行一次采样,由于该采样点的坐标不是整型,所以利用双线性内插得到采样点的灰度值,依次判断采样点,一边记录灰度最大值,一边判断灰度值是否小于最大值的一半,当条件成立时,扫描停止,算法灰度值为最大值的50%所对应的坐标,即地平点坐标,扫完720条射线后,所有的地平点构成一个地平圈。该算法对接近过渡带的点进行双线性内插,提高了程序执行效率,检测出的地平点坐标是浮点数,提高了地平判定精度,有利于减小测量地心的误差。
2.4 精确定中心
精确定中心是算法中最关键的部分,方法的好坏直接影响地心的精度,一般有霍尔变换法、面积积分和三点均值法等,精确定位采用面积积分法,根据微积分理论,对于一个封闭区域D,其重心坐标可用如下公式得到:

式中,x和y代表单元点的坐标,ρ(x,y)代表单元点的密度,D代表整个区域。
当ρ(x,y)=1时,区域的重心和形心重合,S表示区域的面积,为了能够用计算机计算区域的中心位置,必须对上面的公式离散化,离散化后的公式为:

式中,R(θ)表示对应θi~θi+1范围内的幅值变化规律。
3 实验结果
把CCD拍摄到的图象数据送入该系统处理,每处理完一帧图像就会从串口输出一个姿态角信息,表1是四帧图像的处理结果。从表1可以看出算法的精度优于0.1的指标要求,算法处理时间约为0.49秒,满足一秒处理一帧的实时要求。

由高性能数字信号处理器TMS320C6711B和FPGA组成的实时图象处理系统,实现了图像采集、实时数据处理及输出,利用JTAG接口对系统进行在线调试,使系统具有很好的升级性和扩展性,采用DSP处理器,增强了系统的处理能力,提高了系统处理速度,保证了工作的实时性要求,采用贴片器件,既减小了PCB板的尺寸,又增加了系统的可靠性。实践证明,中心定位算法通过对原始图像滤波、判断目标是否进入视场、边缘检测和精确定中心大大地提高了地平仪的测量精度。
红外 DSP FPGA 电源模块 电路 电压 电流 总线 仿真 IDT CMOS PCB 相关文章:
- 一种新型防伪读码器的设计(01-01)
- 新型锁相环芯片全面提升红外无线麦克风产品性能(05-04)
- 2009视频监控:网络化及其推动的几大趋势(06-03)
- 红外摄像机夜视监控系统的四项问题(06-16)
- lns构架智能小区安防及关键技术应用研究(06-09)
- 英国试图利用路灯建城市监控无线网络(07-27)
