用PIC16F87X单片机实现高分辨率频率计的方法
时间:08-04
来源:互联网
点击:
1 引言
随着电子技术的迅速发展,以单片机为控制核心的控制器件,已经全面渗透到测试仪器和计量检定的各个方面。同时,频率计作为一种常用工具,在工程技术和无线电测量、计量等领域的应用十分广泛。本文介绍了一种以PIC16F87X系列单片机为控制器的高分辨率频率计的实现方法。
该方法设计的频率计主要用来测量脉冲频率。它采用LCD图形液晶显示,清晰度高,可视范围广,可外接晶体频率源,具有测量速度快、分辨率高的优点。
2 设计原理
PIC16F877A单片机内部集成有捕捉/比较/脉宽调制PWM (CCP)模块。当CCP工作在捕捉(capture)方式时,可捕捉外部输入脉冲的上升沿或下降沿,并产生相应的中断。
PIC16F877A单片机内部还集成了定时器/计数器模块,在本方案中采用其中的TMR1作为定时器,该定时器的工作原理是通过TMR1“寄存器对”TMR1H:TMR1L从0000H递增到FFFFH,之后再返回0000H时,会产生高位溢出,并且将会设置溢出中断标志位TMR1IF为I,同时引起CPU中断响应。
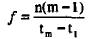
在均匀的脉冲序列中,脉冲频率值等于单位时间内发生的脉冲次数。根据这个原理,可以采用PIC16F87X系列单片机(本文以PIC16F877A型单片机为例)内置定时器模块TMR1计时,同时使用CCP模块的捕捉功能,每间隔n(n=1,4,16)个脉冲捕捉一次并产生中断,记录第1个和第(m-1)*n+1个脉冲到来时的定时器计时t1和tm,如图1所示。
图1脉冲捕捉示意图
用被捕捉的脉冲次数除以第1次和第(m-1)*n+1次脉冲之间间隔的时间即可得到脉冲频率值。因此,脉冲频率值计算公式为:

3 被测频率值范围
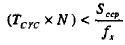
在测试过程中,需要特别注意的是,两次CCP中断的时间间隔必须大于1次中断服务的执行时间。否则,如果在中断服务程序执行时又发生CCP中断,就不能正常工作。
根据上述条件,则有:

由上式得到:

式中:
设定:SCCP=16,N=40,TCYC= 4/20MHz = 0.2 us,则: fx由此可知,实际频率测量范围在0-2 MHz之间。
若需测量更大频率,可以根据需要在待测频率和CPU的CCP口之间接入相应倍数的分频器,每接入一个1/n倍分频器,可测频率范围可扩大n倍(如图2所示)。如在待测频率和CCP口之间接入三个1/10倍分频器,则可测频率范围为0~2 GHz。
图2 CPU外接示意图
4 程序设计
4.1中断程序
中断程序流程图如图3所示。
图3中断子程序流程图
中断服务子程序如下:
void interrupt TMR I_CCP2_ini(void)
{
if(TMR1IF==I) //判断是否定时器中断
{
TMRIIF=0; //TMR1中断标志位清0
TMR1ON=0; //关闭TMR1
TMR1L=0x00; //设置TMR1数据寄存器初始值 0x0bdc
TMR1H=0x00;
TMR1ON=1; //开启TMR1
time_count++; //定时计数器减1
}
if(CCP2IF==1) //判断是否CCP2中断
{
if(ccp_count==0)
{
TMR1IE=1; //允许TMR1中断
TMR1IF=0; //TMR1中断标志位清0
T1CON=0x30; //设置1:8分频,关闭TMR1
TMR1L=0x00; //TMR1数据寄存器清零
TMR1H=0x00;
TMR1ON=1; //开启TMR1中断
}
CCP2IF=0; //CCP2中断标志位清0
ccp_count++; //脉冲计数器加1
}
}
4.2测试过程程序
程序流程图如图4所示。

图4主程序流程图
测试过程程序如下:
unsigned long measure_course(unsigned char
catch_mode)
{
time_count=0; //定时计数器清零
ccp_count=O //脉冲计数器清零
GIE=1; //允许全局中断
PEIE=1; //允许外围中断
TRISC1=0; //CCP2(RC1)输入
CCP2IE=1; //允许CCP2中断
CCP2IF=0; //CCP2中断标志位清0
CCP2CON=catch_mode; //设置捕捉脉冲模式
e(); //中断开始
while(1) //等待定时中断,时间到则退出
if(ccp_count==2)
break;
di(); //中断结束
TMR1ON=0; //关闭TMR1
CCP2CON=0x00; //关闭CCP2
CCP2IE=0; //关闭CCP2中断
CCP2IF=0; //CCP2中断标志位清0
TRISC1=0; //CCP2(RC1)输出
TMR1IE=0; //关闭TMR1中断
TMR1IF=O; //TMR1中断标志位清0
PEIE=0; //关闭外围中断
GIE=0; //关闭全局中断
……
}
5 性能评价
随着电子技术的迅速发展,以单片机为控制核心的控制器件,已经全面渗透到测试仪器和计量检定的各个方面。同时,频率计作为一种常用工具,在工程技术和无线电测量、计量等领域的应用十分广泛。本文介绍了一种以PIC16F87X系列单片机为控制器的高分辨率频率计的实现方法。
该方法设计的频率计主要用来测量脉冲频率。它采用LCD图形液晶显示,清晰度高,可视范围广,可外接晶体频率源,具有测量速度快、分辨率高的优点。
2 设计原理
PIC16F877A单片机内部集成有捕捉/比较/脉宽调制PWM (CCP)模块。当CCP工作在捕捉(capture)方式时,可捕捉外部输入脉冲的上升沿或下降沿,并产生相应的中断。
PIC16F877A单片机内部还集成了定时器/计数器模块,在本方案中采用其中的TMR1作为定时器,该定时器的工作原理是通过TMR1“寄存器对”TMR1H:TMR1L从0000H递增到FFFFH,之后再返回0000H时,会产生高位溢出,并且将会设置溢出中断标志位TMR1IF为I,同时引起CPU中断响应。
在均匀的脉冲序列中,脉冲频率值等于单位时间内发生的脉冲次数。根据这个原理,可以采用PIC16F87X系列单片机(本文以PIC16F877A型单片机为例)内置定时器模块TMR1计时,同时使用CCP模块的捕捉功能,每间隔n(n=1,4,16)个脉冲捕捉一次并产生中断,记录第1个和第(m-1)*n+1个脉冲到来时的定时器计时t1和tm,如图1所示。
图1脉冲捕捉示意图
用被捕捉的脉冲次数除以第1次和第(m-1)*n+1次脉冲之间间隔的时间即可得到脉冲频率值。因此,脉冲频率值计算公式为:

3 被测频率值范围
在测试过程中,需要特别注意的是,两次CCP中断的时间间隔必须大于1次中断服务的执行时间。否则,如果在中断服务程序执行时又发生CCP中断,就不能正常工作。
根据上述条件,则有:

由上式得到:

式中:
- SCCP — 表示捕捉分频倍数。
- fx — 表示被测频率t
- TCYC —表示系统时钟周期。
- N —表示中断所需最小指令周期数。
设定:SCCP=16,N=40,TCYC= 4/20MHz = 0.2 us,则: fx由此可知,实际频率测量范围在0-2 MHz之间。
若需测量更大频率,可以根据需要在待测频率和CPU的CCP口之间接入相应倍数的分频器,每接入一个1/n倍分频器,可测频率范围可扩大n倍(如图2所示)。如在待测频率和CCP口之间接入三个1/10倍分频器,则可测频率范围为0~2 GHz。
图2 CPU外接示意图
4 程序设计
4.1中断程序
中断程序流程图如图3所示。
图3中断子程序流程图
中断服务子程序如下:
void interrupt TMR I_CCP2_ini(void)
{
if(TMR1IF==I) //判断是否定时器中断
{
TMRIIF=0; //TMR1中断标志位清0
TMR1ON=0; //关闭TMR1
TMR1L=0x00; //设置TMR1数据寄存器初始值 0x0bdc
TMR1H=0x00;
TMR1ON=1; //开启TMR1
time_count++; //定时计数器减1
}
if(CCP2IF==1) //判断是否CCP2中断
{
if(ccp_count==0)
{
TMR1IE=1; //允许TMR1中断
TMR1IF=0; //TMR1中断标志位清0
T1CON=0x30; //设置1:8分频,关闭TMR1
TMR1L=0x00; //TMR1数据寄存器清零
TMR1H=0x00;
TMR1ON=1; //开启TMR1中断
}
CCP2IF=0; //CCP2中断标志位清0
ccp_count++; //脉冲计数器加1
}
}
4.2测试过程程序
程序流程图如图4所示。

图4主程序流程图
测试过程程序如下:
unsigned long measure_course(unsigned char
catch_mode)
{
time_count=0; //定时计数器清零
ccp_count=O //脉冲计数器清零
GIE=1; //允许全局中断
PEIE=1; //允许外围中断
TRISC1=0; //CCP2(RC1)输入
CCP2IE=1; //允许CCP2中断
CCP2IF=0; //CCP2中断标志位清0
CCP2CON=catch_mode; //设置捕捉脉冲模式
e(); //中断开始
while(1) //等待定时中断,时间到则退出
if(ccp_count==2)
break;
di(); //中断结束
TMR1ON=0; //关闭TMR1
CCP2CON=0x00; //关闭CCP2
CCP2IE=0; //关闭CCP2中断
CCP2IF=0; //CCP2中断标志位清0
TRISC1=0; //CCP2(RC1)输出
TMR1IE=0; //关闭TMR1中断
TMR1IF=O; //TMR1中断标志位清0
PEIE=0; //关闭外围中断
GIE=0; //关闭全局中断
……
}
5 性能评价
电子 单片机 无线电 PIC LCD PWM 电路 相关文章:
- 一种新型防伪读码器的设计(01-01)
- 基于ARM与DSP的嵌入式运动控制器设计(04-25)
- 航天器DC/DC变换器的可靠性设计(02-12)
- 我国科学家人脸与笔迹识别领域获突破(04-29)
- 基于ARM核的AT75C220及其在指纹识别系统中的应用(05-24)
- 基于nRF2401智能小区无线抄表系统集中器设计(04-30)
