CAE仿真技术在电子产品结构设计的应用
时间:08-03
来源:互联网
点击:
接触和碰撞是生产、生活中普遍存在的力学问题。例如汽车、飞机、火车、船舶等运输工具的碰撞,以及包装体、通信设备、消费性电子产品、医疗箱等产品的跌落,可以说接触碰撞是无处不在、不可避免的。有关研究表明,在新产品研制过程中,约70%~80%的成本耗费于设计阶段,因为在这个过程中,存在着因产品设计存在缺陷而导致产品重复修改、甚至重新设计,不仅耗费时问精力,而且造成产品成本上升、不能按时投放市场。近些年来,由于计算机软硬件和有限元理论的迅速发展,运用CAE(计算机辅助工程)软件对电工电子产品进行可靠性仿真分析已经成为一种流行的趋势。在产品开发阶段,利用计算机仿真方法进行结构耐撞性的分析,不仅可以有效地提高产品的可靠性,而且能降低开发成本,提高产品的市场竞争能力。
本文利用HyperMesh/Ls-Dyna有限元分析软件对一款MP3整体模型实现了由PRO/E中导人,并按照真实MP3产品跌落的实际操作进行跌落模拟仿真分析,迅速和准确地得到了其应力、应变各种参数,进而对其结构设计起到指导作用。
1 接触和碰撞的有限元算法和自由跌落试验
1.1 接触和碰撞的有限元算法
MP3跌落是MP3产品在极短的时间内,在剧烈碰撞动态载荷作用下发生的复杂非线性动态响应过程。系统除了具有几何非线性和材料非线性以外,还有接触界面的非线性。因此,像这种瞬态冲击动力学问题,一般都采用显式直接积分求解算法,而直接积分法中的中心差分法最常用。
1.1.1 中心差分法的原理
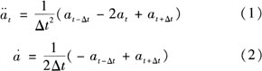
中心差分法中,加速度和速度可以用位移表示,即

时间ι+△t的位移解答at+Δt,可由时间t的运动方程得到满足,即由下式得到:

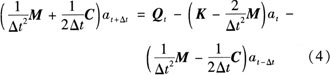
为此,中心差分法递推公式可由式(1)~式(3)得到:

1.1.2中心差分法的算法步骤
(1)初始计算
a)形成刚度矩阵K、质量矩阵M和阻尼矩阵C。

b)给定ao,△o和△o;

c)选择时间步长△t;
d)计算a-Δt;
e)形成有效质量矩阵M。
(2)对于每一时间步长进行计算和求解
a)计算时间t的有效载荷:
b)求解时间t+△t的位移:
c)如果需要,根据式(1)和式(2)计算时间t的加速度和速度。
以上简要介绍了中心差分法的原理和求解步骤。
因此,在整个时域范围内,可由上述积分递推公式求得各个离散时间点处的位移、速度和加速度。显式积分不需要进行矩阵分解或求逆,无需求解联立方程组,也不存在收敛性问题,因此计算速度快,其稳定性准则能自动控制计算时问步长的大小,保证时问积分的进度。应用显示积分算法求解碰撞问题时,一个特别值得注意的问题就是时间步长不能超过临界时间步长。对于本文的壳元,有[2]

式中:a为时步因子;Lmin为板壳元最小的单元边长度;

为材料的声速。
1.2 自由跌落试验[3]
试验目的是确定产品在搬运期间遭到跌落的适应性,或确定安全要求用的最低牢固等级。对于MP3产品,其使用过程中发生跌落的可能性也很大。
试验条件如下:
a)试验表面:试验表面应是混凝土或钢制成的平滑、坚硬的刚性表面。
b)跌落高度:对小型产品,跌落高度为1 000 mm。为保证仿真结果的准确性,在仿真过程中确定的跌落高度为1 500 mm。
c)释放方法:应使试验样品从悬挂着的位置自由跌落。
2 模型分析和有限元离散
有限元方法的基本思想是将结构进行有限元离散化[4],用有限个容易分析的单元来表示复杂的工程结构,各个单元之问通过有限元节点相互连接,根据有限元基本理论建立有限元总体平衡方程,然后求解。CAE有限元法求解工程问题的基本过程主要包括3个阶段:要分析的结构的有限元离散化、有限元方程的建立和求解以及计算结果的处理。但是影响模拟结果精度的主要在前两个阶段,而第2阶段是由软件来操作的,所以只有第1阶段是由人工操作的,这也是影响求解精度的最重要的阶段。
本文以南京夏浦公司的一款MP3为例,采用以下两种方法进行有限元离散:
a)简化结构:将尖角、细孔等细微结构在造型设计软件中消除,以其他结构代替,要尽量避免简化部分的结构恰恰是分析所应关注的部分,大部分情况下这种简化是不允许的;
b)采用充分小的单元:为了使离散结果更接近于真实化,可采用充分小的单元,但是这种离散的结果是直接导致计算处理时间成几何级数上升,因此应找到平衡点,使得离散结果接近真实化,而又不浪费资源。
2.1 仿真模型的建立
建立仿真分析的模型是仿真的前提条件。这里利用CAD(计算机辅助设计)建模软件PRO/E建立了MP3整体模型。下面对MP3模型进行简单的结构分析,如图1所示。其结构的几何形状比较复杂,主要由以下几个部分组成:
a)透明镜片(Lens):曲面壳体结构,起到保护LCD(液晶显示器)的作用,其下部有4个直径很小的定位销;
b)前壳(Front):曲面壳体结构,结构与镜片结合采用定位孔,与后壳结合采用导沿和圆柱定位,通过圆柱和加强筋把PCB(印制板)模组和LCD模组固定;
c)中壳(Middle):曲面壳体结构,通过卡扣和导引槽与前后壳体相连接;
d)后壳(Back):曲面壳体结构,其上也有圆柱和加强筋,通过卡扣和螺钉与前壳结合;
e)PCB模组和LCD模组;
f)其他部分:电池等附件。
2.2 有限元模型的离散
由于HyperMesh能与PRO/E无缝集成,它的前后处理功能强大,能识别CAD模型特征,自动进行网格划分和局部网格过渡。因此,本文采用HyperMesh来作为Ls-Dyna求解器的前处理器。为了真实地模拟MP3跌落过程中碰撞区域的情况,建立详细和准确的MP3有限元模型是必要的。本文主要考虑壳体结构设计是否满足总体设计的要求,因此本文对MP3整体模型进行了大量简化,由于模型中前、后和中壳体的简化会影响模拟的精度,故对前、后和中壳体进行少量简化,只是去除外部的倒圆角;而对壳体里面的PCB模组、LCD模组以及电池等附件进行大量简化,镜片没有进行任何简化模型中,镜片、前后和中壳体,以及用于螺钉连接的圆柱都采用四节点的壳单元进行网格划分,PCB模组、LCD模组以及电池等附件采用六面体网格划分。
MP3壳体材料为PC/ABS,为塑料,为了简化计算,将它看做一般的弹塑性材料。
2.3 模型分析
MP3跌落到地面的过程可以看成是其以一定的初始速度碰到刚性墙的过程,所以本文在有限元模型的下方设立一刚性墙,让模型以一定的初始速度撞向刚性墙。这个初始速度为物体自由下落1.5 m时的速度。接触类型采用了单向接触(One-way contact)中的* Contact_Automatic_Nodes_To_Surface[2],在接触分析中,由于问题的复杂性,判断接触发生的方向有时是很困难的,因此分析中应尽量使用自动接触(不需要人工干预接触方向)。相互接触的两个面,其地位是不相等的,一个被成为"主",另一个被称谓"从"。这里把刚性墙设置为"主",手机简化模型设置为"从"。最后生成LS-DYNA计算所需要的*.K输入文件,并提交给DYNA进行计算。
根据国家标准规定跌落高度的优先选择值25 mm、100 mm、500 mm、1 000 mm等,本文出于设计安全裕度的考虑选取跌落高度为1 500 mm,与地面刚性撞击。
2.4 仿真结果分析
从分析的结果可以得出,MP3在6个方向上跌落分析外壳体所受的最大应力都在屈服极限之内,而且应力仍有较大富裕,仍有减薄余地,在跌落过程中和刚性墙碰撞的瞬问最大应力一般都发生在定位销或卡扣处,这就要求设计时对这些区域应重点考虑。值得注意的是X轴正方向和X轴负方向,以及Y轴正方向和Y轴负方向的应力差别很大,这是由于模型总体设计的不对称所造成的。因此,在模型总体设计的布局中,质量分布应尽量均匀而且沿中心轴对成。Z轴正方向和Z轴负方向上碰撞瞬间壳体所受的最大应力差别也很大,这是由于模型的表面形状的不同而导致的,当然局部设计的不对称也是一个重要原因,这也要求产品设计时各个配合的零部件之间应尽量保证圆滑过渡,从而不会造成应力集中现象。
3 结束语
过运用CAE工具,对产品的自由跌落试验状况进行仿真。从动力学角度考虑产品的可靠性设计,不仅能够为产品的设计开发及改型提供一定的依据,而且能够模拟得到一些实际中不可能完成的数据采集工作。通过仿真分析可达到以下目的:事先预测,在产品开发初始就可导入,能够为产品没计人员分析产品设计是否存在缺陷,可缩短开发流程,提高产品质量;费用低,试验时间短;通过采取一定的手段以及分析人员在产品分析方而深厚的经历,模拟数据精度与实际实物试验数据非常接近。因此,采用CAE技术对MP3产品自由跌落试验仿真能有效地发现和改进设计缺陷,起到对产品设计指导作用,从而为企业创造效益。
本文利用HyperMesh/Ls-Dyna有限元分析软件对一款MP3整体模型实现了由PRO/E中导人,并按照真实MP3产品跌落的实际操作进行跌落模拟仿真分析,迅速和准确地得到了其应力、应变各种参数,进而对其结构设计起到指导作用。
1 接触和碰撞的有限元算法和自由跌落试验
1.1 接触和碰撞的有限元算法
MP3跌落是MP3产品在极短的时间内,在剧烈碰撞动态载荷作用下发生的复杂非线性动态响应过程。系统除了具有几何非线性和材料非线性以外,还有接触界面的非线性。因此,像这种瞬态冲击动力学问题,一般都采用显式直接积分求解算法,而直接积分法中的中心差分法最常用。
1.1.1 中心差分法的原理
中心差分法中,加速度和速度可以用位移表示,即

时间ι+△t的位移解答at+Δt,可由时间t的运动方程得到满足,即由下式得到:

为此,中心差分法递推公式可由式(1)~式(3)得到:

1.1.2中心差分法的算法步骤
(1)初始计算
a)形成刚度矩阵K、质量矩阵M和阻尼矩阵C。

b)给定ao,△o和△o;

c)选择时间步长△t;
d)计算a-Δt;
e)形成有效质量矩阵M。
(2)对于每一时间步长进行计算和求解
a)计算时间t的有效载荷:
b)求解时间t+△t的位移:
c)如果需要,根据式(1)和式(2)计算时间t的加速度和速度。
以上简要介绍了中心差分法的原理和求解步骤。
因此,在整个时域范围内,可由上述积分递推公式求得各个离散时间点处的位移、速度和加速度。显式积分不需要进行矩阵分解或求逆,无需求解联立方程组,也不存在收敛性问题,因此计算速度快,其稳定性准则能自动控制计算时问步长的大小,保证时问积分的进度。应用显示积分算法求解碰撞问题时,一个特别值得注意的问题就是时间步长不能超过临界时间步长。对于本文的壳元,有[2]

式中:a为时步因子;Lmin为板壳元最小的单元边长度;

为材料的声速。
1.2 自由跌落试验[3]
试验目的是确定产品在搬运期间遭到跌落的适应性,或确定安全要求用的最低牢固等级。对于MP3产品,其使用过程中发生跌落的可能性也很大。
试验条件如下:
a)试验表面:试验表面应是混凝土或钢制成的平滑、坚硬的刚性表面。
b)跌落高度:对小型产品,跌落高度为1 000 mm。为保证仿真结果的准确性,在仿真过程中确定的跌落高度为1 500 mm。
c)释放方法:应使试验样品从悬挂着的位置自由跌落。
2 模型分析和有限元离散
有限元方法的基本思想是将结构进行有限元离散化[4],用有限个容易分析的单元来表示复杂的工程结构,各个单元之问通过有限元节点相互连接,根据有限元基本理论建立有限元总体平衡方程,然后求解。CAE有限元法求解工程问题的基本过程主要包括3个阶段:要分析的结构的有限元离散化、有限元方程的建立和求解以及计算结果的处理。但是影响模拟结果精度的主要在前两个阶段,而第2阶段是由软件来操作的,所以只有第1阶段是由人工操作的,这也是影响求解精度的最重要的阶段。
本文以南京夏浦公司的一款MP3为例,采用以下两种方法进行有限元离散:
a)简化结构:将尖角、细孔等细微结构在造型设计软件中消除,以其他结构代替,要尽量避免简化部分的结构恰恰是分析所应关注的部分,大部分情况下这种简化是不允许的;
b)采用充分小的单元:为了使离散结果更接近于真实化,可采用充分小的单元,但是这种离散的结果是直接导致计算处理时间成几何级数上升,因此应找到平衡点,使得离散结果接近真实化,而又不浪费资源。
2.1 仿真模型的建立
建立仿真分析的模型是仿真的前提条件。这里利用CAD(计算机辅助设计)建模软件PRO/E建立了MP3整体模型。下面对MP3模型进行简单的结构分析,如图1所示。其结构的几何形状比较复杂,主要由以下几个部分组成:
a)透明镜片(Lens):曲面壳体结构,起到保护LCD(液晶显示器)的作用,其下部有4个直径很小的定位销;
b)前壳(Front):曲面壳体结构,结构与镜片结合采用定位孔,与后壳结合采用导沿和圆柱定位,通过圆柱和加强筋把PCB(印制板)模组和LCD模组固定;
c)中壳(Middle):曲面壳体结构,通过卡扣和导引槽与前后壳体相连接;
d)后壳(Back):曲面壳体结构,其上也有圆柱和加强筋,通过卡扣和螺钉与前壳结合;
e)PCB模组和LCD模组;
f)其他部分:电池等附件。
2.2 有限元模型的离散
由于HyperMesh能与PRO/E无缝集成,它的前后处理功能强大,能识别CAD模型特征,自动进行网格划分和局部网格过渡。因此,本文采用HyperMesh来作为Ls-Dyna求解器的前处理器。为了真实地模拟MP3跌落过程中碰撞区域的情况,建立详细和准确的MP3有限元模型是必要的。本文主要考虑壳体结构设计是否满足总体设计的要求,因此本文对MP3整体模型进行了大量简化,由于模型中前、后和中壳体的简化会影响模拟的精度,故对前、后和中壳体进行少量简化,只是去除外部的倒圆角;而对壳体里面的PCB模组、LCD模组以及电池等附件进行大量简化,镜片没有进行任何简化模型中,镜片、前后和中壳体,以及用于螺钉连接的圆柱都采用四节点的壳单元进行网格划分,PCB模组、LCD模组以及电池等附件采用六面体网格划分。
MP3壳体材料为PC/ABS,为塑料,为了简化计算,将它看做一般的弹塑性材料。
2.3 模型分析
MP3跌落到地面的过程可以看成是其以一定的初始速度碰到刚性墙的过程,所以本文在有限元模型的下方设立一刚性墙,让模型以一定的初始速度撞向刚性墙。这个初始速度为物体自由下落1.5 m时的速度。接触类型采用了单向接触(One-way contact)中的* Contact_Automatic_Nodes_To_Surface[2],在接触分析中,由于问题的复杂性,判断接触发生的方向有时是很困难的,因此分析中应尽量使用自动接触(不需要人工干预接触方向)。相互接触的两个面,其地位是不相等的,一个被成为"主",另一个被称谓"从"。这里把刚性墙设置为"主",手机简化模型设置为"从"。最后生成LS-DYNA计算所需要的*.K输入文件,并提交给DYNA进行计算。
根据国家标准规定跌落高度的优先选择值25 mm、100 mm、500 mm、1 000 mm等,本文出于设计安全裕度的考虑选取跌落高度为1 500 mm,与地面刚性撞击。
2.4 仿真结果分析
从分析的结果可以得出,MP3在6个方向上跌落分析外壳体所受的最大应力都在屈服极限之内,而且应力仍有较大富裕,仍有减薄余地,在跌落过程中和刚性墙碰撞的瞬问最大应力一般都发生在定位销或卡扣处,这就要求设计时对这些区域应重点考虑。值得注意的是X轴正方向和X轴负方向,以及Y轴正方向和Y轴负方向的应力差别很大,这是由于模型总体设计的不对称所造成的。因此,在模型总体设计的布局中,质量分布应尽量均匀而且沿中心轴对成。Z轴正方向和Z轴负方向上碰撞瞬间壳体所受的最大应力差别也很大,这是由于模型的表面形状的不同而导致的,当然局部设计的不对称也是一个重要原因,这也要求产品设计时各个配合的零部件之间应尽量保证圆滑过渡,从而不会造成应力集中现象。
3 结束语
过运用CAE工具,对产品的自由跌落试验状况进行仿真。从动力学角度考虑产品的可靠性设计,不仅能够为产品的设计开发及改型提供一定的依据,而且能够模拟得到一些实际中不可能完成的数据采集工作。通过仿真分析可达到以下目的:事先预测,在产品开发初始就可导入,能够为产品没计人员分析产品设计是否存在缺陷,可缩短开发流程,提高产品质量;费用低,试验时间短;通过采取一定的手段以及分析人员在产品分析方而深厚的经历,模拟数据精度与实际实物试验数据非常接近。因此,采用CAE技术对MP3产品自由跌落试验仿真能有效地发现和改进设计缺陷,起到对产品设计指导作用,从而为企业创造效益。
- 一种新型防伪读码器的设计(01-01)
- 基于ARM与DSP的嵌入式运动控制器设计(04-25)
- 航天器DC/DC变换器的可靠性设计(02-12)
- 我国科学家人脸与笔迹识别领域获突破(04-29)
- 基于ARM核的AT75C220及其在指纹识别系统中的应用(05-24)
- 基于nRF2401智能小区无线抄表系统集中器设计(04-30)
