基于比率自适应门控振荡器稳压器控制SEPIC
时间:07-09
来源:互联网
点击:
![]() |
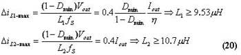
其中η是正确的因素,因寄生效应将考虑功率损耗。
我们选择L1=L2=15UH,它可以处理下列最大峰值电流:
![]() |
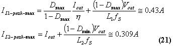
此应用中开关的最大电压和电流应力如下:
![]() |
M2623 内的开关分别具有 2.2A 的最低电流极限和 14V 的最大电压能力。
当开关关闭时输出二极管开启,并且提供电感器电流的路径。 选择整流器二极管的重要标准包括: 开关迅速、击穿电压、额定电流和较低的正向电压降,以最小化功率消耗。 最佳的解决方案是肖特基二极管。 击穿电压必须大于最大输入电压和输出电压,并且应为顺态和尖峰添加一些容限。 额定电流至少应等于这两个电感器中最大峰值电流的和: 通常,额定电流将比较高,因为功耗和结温限制支配着器件的选择。 对于我们的示例,我们选择额定电流为 3A,击穿电压为 40V 的肖特基二极管。
电容器的功能是在它们的电场中存储能量;因此,从质量方面看,电容器的功能是尝试保持恒定电压。 SEPIC 电容器C1在开关时间内为电感器L2提供能量。 假定最大电压降为5%,则C1的计算值等于:
![]() |
所选的电容器必须能够处理 rms 纹波电流:
![]() |
最后,我们分别为C2和Cin 选择 钽电容器100UF 和22UF 陶瓷电容器。
两个电容器的 rms 电流能量必须等于:
![]() |
有时候并行放置输出电容器 陶瓷电容器非常有用,可以旁通高频谐波。
图 9 中显示了整个电路;图 10-13 显示了两个电感器在不同输入电压下的实验性电流波形。
|
|
图 10: Vg=3.0V 时 L1 开关信号的电流波形。 1) VSW, 2V/div, DC; 2) 电感器电流,100mA/div, DC; T= ns/div
|
图 11: Vg=3.0V 时 L2 开关信号的电流波形。 1) VSW, 2V/div, DC; 2) 电感器电流,100mA/div, DC; T= ns/div
|
图 12: Vg=4.2V 时 L1 开关信号的电流波形。 1) VSW, 2V/div, DC; 2) 电感器电流,100mA/div, DC; T= ns/div
|
图 13: Vg=4.2V 时 L2 开关信号的电流波形。 1) VSW, 2V/div, DC; 2) 电感器电流,100mA/div, DC; T= ns/div
结论
尽管 SEPIC 拓扑结构比其它拓扑结构在开关和二极管上设置更高的应力,但无需使用变压器实现电压转换,而是通过成本较低的电感器。 此类转换器在需要真正停机的升压应用中也非常有用,因为通过藕合电容器对输入和输出电压进行直流绝缘。
提供了美国国家半导体公司的 LM2623 稳压器的 SEPIC 设计示例。 如果负载在一段范围内不变化,可以通过外部分量修复开关频率并允许工作周期随输入变化而变化。 这样,转换器的行为类似于典型的 PWM 调制转换器,该转换器的差别就是无需任何补偿,因为 PFM 体系结构非常稳定。
电压 PIC 电感 半导体 振荡器 电路 电容 电容器 电流 二极管 比较器 电阻 变压器 PWM 相关文章:
- 航天器DC/DC变换器的可靠性设计(02-12)
- 基于nRF2401智能小区无线抄表系统集中器设计(04-30)
- 卫星电源分系统可靠性设计与研究(02-12)
- 安全标准61010标准解析(05-05)
- 采用信号调理IC驱动应变片电桥传感器(05-26)
- 解密波音747飞机中的Sperry垂直陀螺仪(05-06)











