基于比率自适应门控振荡器稳压器控制SEPIC
时间:07-09
来源:互联网
点击:
简介
有些应用需要稳定的输出电压,该电压可能高于也可能低于输入电压范围。 这是常见于输入电压随时间而变化的电池供电的系统。
常规的方法包括增加电池电压然后将其降低到所需的值。 这样可从电池获取稳定电压,而不论电池的原始电平如何。
不过,此类方法存在一些缺陷: 增加元件数量和空间、提高成本、降低可靠性并且降低功率传递的效率。 在本文中,我们将向您介绍从各种电压输入源获得稳定电压的更好方法。
能够执行所需功能的一种转换器是非绝缘 SEPIC,它是单端初级电感转换器(Single-Ended Primary Inductance Converter)的首字母缩略词。 这种转换器能够,降低或增加输入电压。
本文概要介绍基于美国国家半导体公司 LM2623 比率自适应门控振荡器的稳压器控制的 SEPIC 电路的操作。
SEPIC 电路: 操作原理
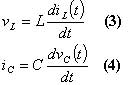
开关直流/直流转换器中的所有电感器和电容器波形有直流分量和少量非所要求的交流分量组成,是因开关谐波不完全衰减造成的:
其中X(t)可以是电感器或电容器的电流或电压。 但是,输出开关纹波, 以及电感器和电容器纹波波形,在任何精心设计的转换器中应足够的小,因为产生直流输出是其主要目的。 因此,在原理上对开关纹波的量值比直流分量小得多的假定是正确的。
在该转换器中提供的一般波形的输出近似以下表示:
这就是所谓的小纹波近似。
电感器和电容器的定义关系:

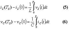
让我们在开关周期 内积分:
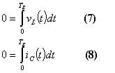
在稳定状态下,电感器电流和电容器电压在一个开关周期内的净变化必须为零,因此[等式 5] 和[等式 6] 变为:
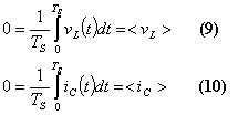
通过将[等式 7] 和[等式 8] 的两端除以开关周期获得等效形式:
这表明,在平衡状态下,平均电感器电压和电容器电流必须具有零直流分量。
这可以直观地进行解释。 如果将直流电压加于电感器,则流量将持续增加,并且电感器电流将无限增加。 同样,如果将直流电加于电感器上,则电容器将持续充电,并且它的电压将无限增加。
等式[等式 9] 和[等式 10] 称为电感器伏-秒平衡和电容器电荷平衡原理。
到目前为止所推出的原理,班现在应用于推导 SEPIC 电路电感器电流和电容器电压的稳态直流分量。 还找到电压和电流纹波的量值。 我们将假定所有元件均是理想的;寄生元件,例如,功率损耗的来源是忽被略的。
在图 1 中以图解的形式说明了使用一个开关和一个二极管的 SEPIC 电路的实际情况。
此转换器利用四个动态能量存储元件:L1 、L2 、C1 和 Cout。
SEPIC 电路的行为强烈依赖于电感器中电流以及电容器中电压的连续性。 由于存在许多不同的操作模式,因此决定了电感器电流和电容器电压是连续还是不连续。 尽管所有的模式均可能存在,但常见的操作模式是C1上的电压连续,而L1和L2是连续传导, 或断续传导。 在本文中,我们将提到电感器中的电流从不为零的案例: 这种操作模式称为连续传导模式 (CCM)。 CCM 产生较小的电流纹波,这暗含着在电路的无源元件上存在较低的应力,并且存在较低的电磁干扰。
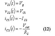
正如图 2a 中所描述的那样,关闭开关时,能量从输入源传递到L1,并从C1传递到 。 在此时间内,C2向负载提供必要的能量。 当最终打开开关时,如图 2b,L1和L2中存储的能量通过二极管释放给C1、C2 、 和负载。
当开关闭合时(图 2a),极性随意定义的电感器电压和电容器电流如下:
根据小纹波近似,我们假定与相应的直流分量Vg、Vc1 、IL2 和Vout 相比,vg、vc1 、iL2 和vouy 的开关纹波量值较小。
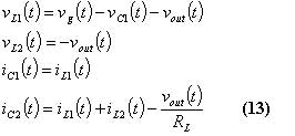
当开关开启时(图 2b),电感器电压和电容器电流变为:
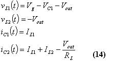
[等式 13] 的小纹波近似输出:
在图 3 中以图解方式说明了基于[等式 12] 和[等式 14] 的电感器电压和电容器电流波形。
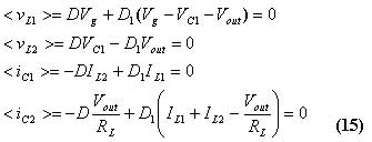
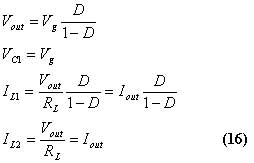
我们现在将图 3 波形的直流分量或平均值设为零,以便在转换器中找到稳态条件:
其中, 代表开关的工作周期, 是工作周期的补量,定义为 。 此等式系统的解答可表示如下:
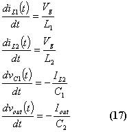
为了完成我们的稳态分析,我们将估计电感器电流和电容器电压的开关纹波量值。 在图 4 中对这些进行了描述。
可以在第一个子区间中通过分析推导波形的范围:
由于我们知道第一个区间的长度和稳态中的波形与它们平均值相对称,因此我们可以计算纹波量值:
这些表达式可用于选择L1 、L2 、C1 和C2 的值,以便获取开关纹波量值的所需值。
比率自适应门控振荡器稳压器
美国国家半导体公司的 LM2623 是一款开关稳压器,它包括低端 NMOS 开关,并且设计用于直流/直流转换器,例如,升压转换器和 SEPIC。
正如图 5 中所描述的那样,稳压器的控制模式由启用振荡器的滞后比较器组成,它能够驱动开关。
有些应用需要稳定的输出电压,该电压可能高于也可能低于输入电压范围。 这是常见于输入电压随时间而变化的电池供电的系统。
常规的方法包括增加电池电压然后将其降低到所需的值。 这样可从电池获取稳定电压,而不论电池的原始电平如何。
不过,此类方法存在一些缺陷: 增加元件数量和空间、提高成本、降低可靠性并且降低功率传递的效率。 在本文中,我们将向您介绍从各种电压输入源获得稳定电压的更好方法。
能够执行所需功能的一种转换器是非绝缘 SEPIC,它是单端初级电感转换器(Single-Ended Primary Inductance Converter)的首字母缩略词。 这种转换器能够,降低或增加输入电压。
本文概要介绍基于美国国家半导体公司 LM2623 比率自适应门控振荡器的稳压器控制的 SEPIC 电路的操作。
SEPIC 电路: 操作原理
开关直流/直流转换器中的所有电感器和电容器波形有直流分量和少量非所要求的交流分量组成,是因开关谐波不完全衰减造成的:
|
![]() |
![]() |
电感器和电容器的定义关系:

让我们在开关周期 内积分:
![]() |
![]() |
![]() |
这可以直观地进行解释。 如果将直流电压加于电感器,则流量将持续增加,并且电感器电流将无限增加。 同样,如果将直流电加于电感器上,则电容器将持续充电,并且它的电压将无限增加。
等式[等式 9] 和[等式 10] 称为电感器伏-秒平衡和电容器电荷平衡原理。
到目前为止所推出的原理,班现在应用于推导 SEPIC 电路电感器电流和电容器电压的稳态直流分量。 还找到电压和电流纹波的量值。 我们将假定所有元件均是理想的;寄生元件,例如,功率损耗的来源是忽被略的。
在图 1 中以图解的形式说明了使用一个开关和一个二极管的 SEPIC 电路的实际情况。
|
此转换器利用四个动态能量存储元件:L1 、L2 、C1 和 Cout。
SEPIC 电路的行为强烈依赖于电感器中电流以及电容器中电压的连续性。 由于存在许多不同的操作模式,因此决定了电感器电流和电容器电压是连续还是不连续。 尽管所有的模式均可能存在,但常见的操作模式是C1上的电压连续,而L1和L2是连续传导, 或断续传导。 在本文中,我们将提到电感器中的电流从不为零的案例: 这种操作模式称为连续传导模式 (CCM)。 CCM 产生较小的电流纹波,这暗含着在电路的无源元件上存在较低的应力,并且存在较低的电磁干扰。
正如图 2a 中所描述的那样,关闭开关时,能量从输入源传递到L1,并从C1传递到 。 在此时间内,C2向负载提供必要的能量。 当最终打开开关时,如图 2b,L1和L2中存储的能量通过二极管释放给C1、C2 、 和负载。
|
当开关闭合时(图 2a),极性随意定义的电感器电压和电容器电流如下:
![]() |
根据小纹波近似,我们假定与相应的直流分量Vg、Vc1 、IL2 和Vout 相比,vg、vc1 、iL2 和vouy 的开关纹波量值较小。
![]() |
当开关开启时(图 2b),电感器电压和电容器电流变为:
![]() |
[等式 13] 的小纹波近似输出:
![]() |
在图 3 中以图解方式说明了基于[等式 12] 和[等式 14] 的电感器电压和电容器电流波形。
|
我们现在将图 3 波形的直流分量或平均值设为零,以便在转换器中找到稳态条件:
![]() |
其中, 代表开关的工作周期, 是工作周期的补量,定义为 。 此等式系统的解答可表示如下:
![]() |
为了完成我们的稳态分析,我们将估计电感器电流和电容器电压的开关纹波量值。 在图 4 中对这些进行了描述。
|
可以在第一个子区间中通过分析推导波形的范围:
![]() |
由于我们知道第一个区间的长度和稳态中的波形与它们平均值相对称,因此我们可以计算纹波量值:
![]() |
这些表达式可用于选择L1 、L2 、C1 和C2 的值,以便获取开关纹波量值的所需值。
比率自适应门控振荡器稳压器
美国国家半导体公司的 LM2623 是一款开关稳压器,它包括低端 NMOS 开关,并且设计用于直流/直流转换器,例如,升压转换器和 SEPIC。
正如图 5 中所描述的那样,稳压器的控制模式由启用振荡器的滞后比较器组成,它能够驱动开关。
电压 PIC 电感 半导体 振荡器 电路 电容 电容器 电流 二极管 比较器 电阻 变压器 PWM 相关文章:
- 航天器DC/DC变换器的可靠性设计(02-12)
- 基于nRF2401智能小区无线抄表系统集中器设计(04-30)
- 卫星电源分系统可靠性设计与研究(02-12)
- 安全标准61010标准解析(05-05)
- 采用信号调理IC驱动应变片电桥传感器(05-26)
- 解密波音747飞机中的Sperry垂直陀螺仪(05-06)


















