一种EDFA温控电路的分析
时间:06-29
来源:互联网
点击:
3.4 系统误差分析
上述自调系统的温控精度实测结果是:窄温控范围(15~25℃),长期稳定度±0.2℃;宽温控范围(5~40℃),长期稳定度±0.4℃;显然,这与不超过±0.1℃的技术要求存在差距。
上述自调系统的误差源经开环检测,主要是桥式温度-电压变换电路的电源电压EO的稳定度,电桥输出放大器的零点漂移,其次是可控恒流源的电流漂移。
4 建立微机温度双回路数字测控系统
图1所示的系统是单回路自动控制系统,在此基础上,再加入一个以微机为核心的测控回路,构成双回路数字测控系统,该系统如图6所示。图6 中,PC是单片机,键盘、显示器为人、机界面。温度精测电路可实现比图1的测温电路更精确的温度测量。然后经模/数转换,PC进行数据处理。并依据输出温度与设定温度的偏差,PC经数/模转换给出微调值。这是一个负反馈的过程。
图6所示系统提高温控精度的主要措施有以下几点。
4.1 应用电阻比较法,提高测温精度
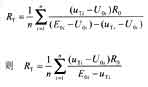
将图3电路中的R0、 RT 电桥臂直接用微机进行检测,电原理图如图7所示。
图中:IC1为高阻输入射随器,保证对 R0、RT测量不分流。IC2为差动放大器,可较好地消弱共模噪声电压。IC2放大倍数KC2决定于计算机A/D 转换量程。控制up2 数字信号,分别测量EO,u T,则
由于uT、E0是直接测量所得。尽管由于 E的变化引起UT、E0 的相应变化,微机(通过A/D转换)仍能准确测量瞬时值。由于测量速度很快,两次测量可认为放大器增益KC2变化极小。因而,通过式(14)可精确计算RT值,且测量精度与 E的变化和KC2的变化无关,只决定于 uT、E0的检测精度和 R0的精度。必须指出的是,这种电阻比较法,只适用于微机测量。这是本文提出的新方法。
4.2 应用数字滤波和零点补偿,有效消弱放大器的零点漂移
为消弱测量UT、 E0的随机误差和放大器的零漂,使测量精度进一步提高,采用数字滤波和零点补偿法。测量数学模型为:
式中:n 为测量次数;E0i、U Ti和U0i分别为第i次测量E0、u T和U0值。U0 为IC1、IC2的零位电压,可以通过模拟开关K使IC1接地进行测量。测量精度可达0.1%,相对温度误差±0.02℃。
4.3 应用单片机进行补偿
在图6所示的数字温控(微调)过程中,单片机是按一定采样周期进行调整的。设UDAS 为给定或要求达到的给定电压值,UDAS (N)为任意第N 个采样周期的UDAS值。同样,设U DA 为实测(或采样)的电压值,UDA (N)为任意第N 个采样周期的UDA值。为了达到精密的测控 [4],微机依据UDA(N )与UDAS(N)的差,通过D/A 转换器给出负反馈特征的调整量,使UDA 向接近UDAS变化,向消除两者之差的方向变化。同时考虑 UDA 随时间的变化速率,还要考虑UDA( N)与其前一周期UDA(N- 1 )的变化。因而总的电压调整增量应为:ΔU=U DAS(N)+UDA(N -1)-2UDA(N)。这就是微机进行微调补偿的数学模型。
通过上述一系列措施,使图6给出的双回路温控系统的温控范围达到10~35℃、温控精度达到±0.03~±0.05℃,满足了宽范围、高精度的要求。
5 结束语
本文所述的温控电路,已成功的应用于EDFA 模块的温度测控。达到了预期要求的宽范围(10~35℃)、高精度(±0.03~±0.05℃)、高可靠性。所有实用化的EDFA产品,经过近5年的现场运行,都未出现任何问题。
上述自调系统的温控精度实测结果是:窄温控范围(15~25℃),长期稳定度±0.2℃;宽温控范围(5~40℃),长期稳定度±0.4℃;显然,这与不超过±0.1℃的技术要求存在差距。
上述自调系统的误差源经开环检测,主要是桥式温度-电压变换电路的电源电压EO的稳定度,电桥输出放大器的零点漂移,其次是可控恒流源的电流漂移。
4 建立微机温度双回路数字测控系统
图1所示的系统是单回路自动控制系统,在此基础上,再加入一个以微机为核心的测控回路,构成双回路数字测控系统,该系统如图6所示。图6 中,PC是单片机,键盘、显示器为人、机界面。温度精测电路可实现比图1的测温电路更精确的温度测量。然后经模/数转换,PC进行数据处理。并依据输出温度与设定温度的偏差,PC经数/模转换给出微调值。这是一个负反馈的过程。
|
图6所示系统提高温控精度的主要措施有以下几点。
4.1 应用电阻比较法,提高测温精度
将图3电路中的R0、 RT 电桥臂直接用微机进行检测,电原理图如图7所示。
|
图中:IC1为高阻输入射随器,保证对 R0、RT测量不分流。IC2为差动放大器,可较好地消弱共模噪声电压。IC2放大倍数KC2决定于计算机A/D 转换量程。控制up2 数字信号,分别测量EO,u T,则
![]() |
由于uT、E0是直接测量所得。尽管由于 E的变化引起UT、E0 的相应变化,微机(通过A/D转换)仍能准确测量瞬时值。由于测量速度很快,两次测量可认为放大器增益KC2变化极小。因而,通过式(14)可精确计算RT值,且测量精度与 E的变化和KC2的变化无关,只决定于 uT、E0的检测精度和 R0的精度。必须指出的是,这种电阻比较法,只适用于微机测量。这是本文提出的新方法。
4.2 应用数字滤波和零点补偿,有效消弱放大器的零点漂移
为消弱测量UT、 E0的随机误差和放大器的零漂,使测量精度进一步提高,采用数字滤波和零点补偿法。测量数学模型为:
![]() |
式中:n 为测量次数;E0i、U Ti和U0i分别为第i次测量E0、u T和U0值。U0 为IC1、IC2的零位电压,可以通过模拟开关K使IC1接地进行测量。测量精度可达0.1%,相对温度误差±0.02℃。
4.3 应用单片机进行补偿
在图6所示的数字温控(微调)过程中,单片机是按一定采样周期进行调整的。设UDAS 为给定或要求达到的给定电压值,UDAS (N)为任意第N 个采样周期的UDAS值。同样,设U DA 为实测(或采样)的电压值,UDA (N)为任意第N 个采样周期的UDA值。为了达到精密的测控 [4],微机依据UDA(N )与UDAS(N)的差,通过D/A 转换器给出负反馈特征的调整量,使UDA 向接近UDAS变化,向消除两者之差的方向变化。同时考虑 UDA 随时间的变化速率,还要考虑UDA( N)与其前一周期UDA(N- 1 )的变化。因而总的电压调整增量应为:ΔU=U DAS(N)+UDA(N -1)-2UDA(N)。这就是微机进行微调补偿的数学模型。
通过上述一系列措施,使图6给出的双回路温控系统的温控范围达到10~35℃、温控精度达到±0.03~±0.05℃,满足了宽范围、高精度的要求。
5 结束语
本文所述的温控电路,已成功的应用于EDFA 模块的温度测控。达到了预期要求的宽范围(10~35℃)、高精度(±0.03~±0.05℃)、高可靠性。所有实用化的EDFA产品,经过近5年的现场运行,都未出现任何问题。
电路 半导体 电流 电阻 传感器 电压 放大器 电路图 单片机 显示器 相关文章:
- 一种新型防伪读码器的设计(01-01)
- 基于ARM与DSP的嵌入式运动控制器设计(04-25)
- 航天器DC/DC变换器的可靠性设计(02-12)
- 基于ARM核的AT75C220及其在指纹识别系统中的应用(05-24)
- 基于nRF2401智能小区无线抄表系统集中器设计(04-30)
- 卫星电源分系统可靠性设计与研究(02-12)




