用在系统可编程模拟器件实现双二阶型滤波器
时间:10-26
来源:互联网
点击:
数字在系统可编程(ISP)技术和复杂可编程器件(CPLD)在电子工业领域已得到了广泛的应用。Lattice公司最近推出的在系统可编程模拟电路(in system programmability Programmable Analog Circuits),简称ispPAC,允许设计者使用EDA开发软件、利用计算机设计和修改模拟电路,进行电路特性模拟,最后通过编程电缆将设计方案下载至芯片中。

在系统可编程电路提供三种可编程性能:(1)可编程功能,即具有对模拟信号进行放大、转换、滤波等功能;(2)可编程互联,即能把器件中的多个功能块进行互联,对电路进行重构,具有百分之百的电路布通率;(3)可编程特性,即能调整电路的增益、带宽和阈值。这种电路可以对电路板上的在系统可编程模拟器件反复编程,编程次数可达10000次。它把高集成度、精确的设计集于一片ispPAC中,取代了由许多独立标准器件所实现的电路功能。
1 在系统可编程模拟电路的结构
在系统可编程模拟器件ispPAC10的结构由四个基本单元电路、模拟布线池、配置存储器、参考电压和自动校正单元以及ISP接口所组成,如图1所示。器件内含60个有源和无源器件,用5V单电源供电。基本单元电路称为PAC块(PACblock),它是由两个仪表放大器和一个输出放大器再配以电阻、电容构成一个真正的差分输入、差分输出的基本单元电路,如图2所示。

所谓真正的差分输入、差分输出是指每个仪表放大器有两个输入端,输出放大器的输出也有两个输出端。电路的输入阻抗为
Ω,共模抑制比为69dB,增益调整范围为-10~+10dB。PAC块中电路的增益和特性都可以用编程的方法来改变,采用一定的方法,器件可配置成1~10000倍的各种增益。输出放大器中的电容CF有128种值可供选择。反馈电阻RF可以断开或连通。器件中的基本单元可以通过模拟布线池(Analog Routing Pool)实现互联,以便实现各种电路的组合。

每个PAC块都可以独立地构成电路,也可以采用级联的方式构成电路以实现复杂的模拟电路功能。图3表示了两种不同的连接方法。其中,(a)表示各个PAC块作为独立的电路工作;(b)为四个PAC块级联构成一个复杂的电路。利用基本单元电路的组合可构成放大、求和、积分、滤波等电路。例如,构成双二阶有源滤波器和梯型滤波器,且无需在器件外部连接电阻、电容元件。
2 双二阶型滤波器的实现
这里主要叙述如何用在系统可编程模拟器件实现滤波器。通常用三个运算放大器便可以实现双二阶型函数的电路。双二阶型函数能实现所有的滤波器函数,如低通、高通、带通、带阻等。双二阶函数的表达式如下:

式中,m=1或0,n=1或0。
双二阶函数电路的灵敏度相当低,电路容易调整。另一个显著特点是只需附加少量的元件就能实现各种滤波器函数。首先讨论低通函数的实现,低通滤波器的转移函数如下:

上式又可写成如下形式:


最后一个等式的方框图如图4所示。
不难看出方框图中的函数可以分别用反相器电路、积分电路、有损积分电路来实现。把各个运算放大器电路代入图4所示的方框图即可得到图5所示的电路。

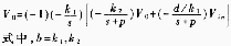
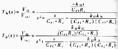
然而现在已不再需要用电阻、电容、运放搭电路和调试电路了。利用在系统可编程器件可以很方便地实现此电路。ispPAC10能够实现方框图中的每一个功能块。PAC块可以对两个信号进行求和或求差,K为可编程增益。因此三运放的双二阶型函数的电路用两个PAC块就可以实现。在开发软件中使用原理图输入方式,把两个PAC块连接起来,即可组成双二阶滤波器,电路如图6所示(电路中把k11、k12、k22设置成+1,把K21设置成-1)。
电路中的CF是反馈电容,Re是输入运放的等效电阻。其值为250kΩ。两个PAC块的输出分别为V01和V02。可以分别得到两个表达式,第一个表达式为带通函数,第二个表达式为低通函数。即


根据上面给出的方程便可以进行滤波器设计了。在系统可编程模拟电路的开发软件PACDesigner中含有一个宏,专门用于滤波器的设计,只要输入f0,Q等参数,即可自动产生双二阶滤波器电路,设置增益和相应的电容值。开发软件中还有一个模拟器,用于模拟滤波器的幅频和相频特性。

在系统可编程电路提供三种可编程性能:(1)可编程功能,即具有对模拟信号进行放大、转换、滤波等功能;(2)可编程互联,即能把器件中的多个功能块进行互联,对电路进行重构,具有百分之百的电路布通率;(3)可编程特性,即能调整电路的增益、带宽和阈值。这种电路可以对电路板上的在系统可编程模拟器件反复编程,编程次数可达10000次。它把高集成度、精确的设计集于一片ispPAC中,取代了由许多独立标准器件所实现的电路功能。
1 在系统可编程模拟电路的结构
在系统可编程模拟器件ispPAC10的结构由四个基本单元电路、模拟布线池、配置存储器、参考电压和自动校正单元以及ISP接口所组成,如图1所示。器件内含60个有源和无源器件,用5V单电源供电。基本单元电路称为PAC块(PACblock),它是由两个仪表放大器和一个输出放大器再配以电阻、电容构成一个真正的差分输入、差分输出的基本单元电路,如图2所示。

所谓真正的差分输入、差分输出是指每个仪表放大器有两个输入端,输出放大器的输出也有两个输出端。电路的输入阻抗为
Ω,共模抑制比为69dB,增益调整范围为-10~+10dB。PAC块中电路的增益和特性都可以用编程的方法来改变,采用一定的方法,器件可配置成1~10000倍的各种增益。输出放大器中的电容CF有128种值可供选择。反馈电阻RF可以断开或连通。器件中的基本单元可以通过模拟布线池(Analog Routing Pool)实现互联,以便实现各种电路的组合。
每个PAC块都可以独立地构成电路,也可以采用级联的方式构成电路以实现复杂的模拟电路功能。图3表示了两种不同的连接方法。其中,(a)表示各个PAC块作为独立的电路工作;(b)为四个PAC块级联构成一个复杂的电路。利用基本单元电路的组合可构成放大、求和、积分、滤波等电路。例如,构成双二阶有源滤波器和梯型滤波器,且无需在器件外部连接电阻、电容元件。
2 双二阶型滤波器的实现
这里主要叙述如何用在系统可编程模拟器件实现滤波器。通常用三个运算放大器便可以实现双二阶型函数的电路。双二阶型函数能实现所有的滤波器函数,如低通、高通、带通、带阻等。双二阶函数的表达式如下:

式中,m=1或0,n=1或0。
双二阶函数电路的灵敏度相当低,电路容易调整。另一个显著特点是只需附加少量的元件就能实现各种滤波器函数。首先讨论低通函数的实现,低通滤波器的转移函数如下:

上式又可写成如下形式:


最后一个等式的方框图如图4所示。
不难看出方框图中的函数可以分别用反相器电路、积分电路、有损积分电路来实现。把各个运算放大器电路代入图4所示的方框图即可得到图5所示的电路。

然而现在已不再需要用电阻、电容、运放搭电路和调试电路了。利用在系统可编程器件可以很方便地实现此电路。ispPAC10能够实现方框图中的每一个功能块。PAC块可以对两个信号进行求和或求差,K为可编程增益。因此三运放的双二阶型函数的电路用两个PAC块就可以实现。在开发软件中使用原理图输入方式,把两个PAC块连接起来,即可组成双二阶滤波器,电路如图6所示(电路中把k11、k12、k22设置成+1,把K21设置成-1)。
电路中的CF是反馈电容,Re是输入运放的等效电阻。其值为250kΩ。两个PAC块的输出分别为V01和V02。可以分别得到两个表达式,第一个表达式为带通函数,第二个表达式为低通函数。即


根据上面给出的方程便可以进行滤波器设计了。在系统可编程模拟电路的开发软件PACDesigner中含有一个宏,专门用于滤波器的设计,只要输入f0,Q等参数,即可自动产生双二阶滤波器电路,设置增益和相应的电容值。开发软件中还有一个模拟器,用于模拟滤波器的幅频和相频特性。
CPLD 电子 模拟电路 EDA 电路 电压 放大器 电阻 电容 滤波器 运算放大器 低通滤波器 相关文章:
- 基于DSP和CPLD的移相全桥软开关电源数字控制器(06-02)
- 基于CPLD的MIDI音乐播放器的设计(06-16)
- 基于CPLD的电器定时开关控制系统设计(08-17)
- 基于CPLD和VS1011E解码器的电梯语音系统设计(11-26)
- 基于DSP和CPLD的软开关电源数字控制器(01-14)
- ADS8323与高速FIFO接口电路的CPLD实现(03-26)
