一种新的MIMO-OFDM同步技术研究
时间:09-16
来源:互联网
点击:
3.2时间同步
3.2.1 粗同步
首先在接收端建立一个长度为N的滑动窗,按照我们提出的训练序列插入方式,当处于正确的时间点时,在滑动窗中的训练序列就是两个相同的前后部分。
考虑到M路天线相对延迟不同,所以前后两个半段有Dp长度部分不同。于是我们可以定义时间粗同步公式为:

上面的计算,因为除掉了上面提到的小部分的不同,所以在训练序列正好对齐的时候就可以得到一个归一化的峰值。
然后设置一个硬判门限和搜索长度L,将从M(d)超过门限的滑动窗中的那段序列开始,连续将L个长度为N的序列送入后续的精同步部分处理,并且记录超过门限的时间点为。设这段序列为gi(t),i=0,1,…,L-1,t=0,1,….,N-1。
3.2.2 精同步
得到了L个长度为N的序列,将他们分别进行FFT运算:

上式中,i=0,1,…,L-1,k=0,1,….,N-1。
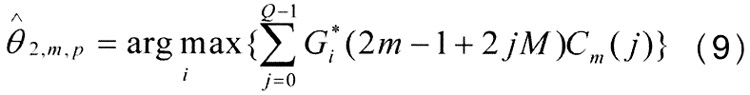
然后将Gi(k)按照先前插训练序列的方式,将其中的伪随机序列抽取出来,和本地序列进行相关相乘,就可以得到第m路发射天线信号的时间精同步点了:

上式中,m=1,2,….,M。
因为有m个发射天线,因此公式(9)要进行m次运算,确定每个发射天线到第p个接收天线的时间精同步点。
所以,得到第m路发射天线信号到达第p路接收天线的时间同步点:

3.3 频率同步
在时间同步后实现频率同步。这里我们仍然可以利用在时域得到的两个相同的半段训练来进行频率偏移估计,与时间粗同步一样,也要除去两个半段序列中τ长度部分的序列,假定各路发射天线的时间同步点中,的相对延迟为零。于是得到频偏估计:

3.4 数据与仿真结果
设MIMO系统为四发四收和两发两收结构,子载波数为N=2048,带宽是20 MHz,信道是COST207六径rayleigh信道,各径时延以40个采样点递增,功率以6 dB递减,速率为70 km/h。四个发射天线到达接收天线的时延分别为0,5,10,15个采样点,因此我们令τ为20个采样点,来进行时间和频率同步。频偏设为0.4,时间精同步搜索长度L=250。由于进行时间粗同步时,得到的峰值会受到噪声的影响,因此硬判值在不同信噪比条件下并不相同,一般来说,是随信噪比的升高呈递增趋势。仿真数据长度是10万帧。
如图4所示。在信噪比较低的情况下,两种情况下时间同步的错误率比较高,并且随着信噪比的升高而逐渐降低,在10 dB的时候错误率降低幅度很大。在12,14 dB的时候错误率几乎为零。说明新算法在各路发射天线时延不同情况下,仍然可以得到良好的时间同步性能。

图4 新算法的时间同步性能曲线
如图5所示。两种情况下频率同步的MSE值随着信噪比的升高而逐渐降低,四发四收和两发两收情况得到的MSE值很接近,说明频率同步算法可以得到和Schmidl算法同样的频率同步性能。

图5 新算法的频率同步性能曲线
通过以上仿真可以看到,该算法在多径环境下可以得到良好的同步性能。
4、结束语
目前,世界各国和各大电信厂商都已经展开了新一代移动通信系统的研究,而且由于MIMO-OFDM在提高无线链路的传输速率和可靠性的巨大潜力,使得这两种技术的结合有望成为过渡到4G的潜在技术。因此MIMO-OFDM已经成为目前4G研究的热点。本文提出的新的 MIMO-OFDM同步方法设置了新的导引符号配置方法,可以在接收端时域得到相同的两个半段序列,进行时间粗同步和频率同步,频域再根据导引插入规则进行时间精同步。仿真结果表明,该方法能实现对多个发射天线时间延迟估计,可适用于分布式MIMO系统。
3.2.1 粗同步
首先在接收端建立一个长度为N的滑动窗,按照我们提出的训练序列插入方式,当处于正确的时间点时,在滑动窗中的训练序列就是两个相同的前后部分。
考虑到M路天线相对延迟不同,所以前后两个半段有Dp长度部分不同。于是我们可以定义时间粗同步公式为:

上面的计算,因为除掉了上面提到的小部分的不同,所以在训练序列正好对齐的时候就可以得到一个归一化的峰值。
然后设置一个硬判门限和搜索长度L,将从M(d)超过门限的滑动窗中的那段序列开始,连续将L个长度为N的序列送入后续的精同步部分处理,并且记录超过门限的时间点为。设这段序列为gi(t),i=0,1,…,L-1,t=0,1,….,N-1。
3.2.2 精同步
得到了L个长度为N的序列,将他们分别进行FFT运算:

上式中,i=0,1,…,L-1,k=0,1,….,N-1。
然后将Gi(k)按照先前插训练序列的方式,将其中的伪随机序列抽取出来,和本地序列进行相关相乘,就可以得到第m路发射天线信号的时间精同步点了:

上式中,m=1,2,….,M。
因为有m个发射天线,因此公式(9)要进行m次运算,确定每个发射天线到第p个接收天线的时间精同步点。
所以,得到第m路发射天线信号到达第p路接收天线的时间同步点:

3.3 频率同步
在时间同步后实现频率同步。这里我们仍然可以利用在时域得到的两个相同的半段训练来进行频率偏移估计,与时间粗同步一样,也要除去两个半段序列中τ长度部分的序列,假定各路发射天线的时间同步点中,的相对延迟为零。于是得到频偏估计:

3.4 数据与仿真结果
设MIMO系统为四发四收和两发两收结构,子载波数为N=2048,带宽是20 MHz,信道是COST207六径rayleigh信道,各径时延以40个采样点递增,功率以6 dB递减,速率为70 km/h。四个发射天线到达接收天线的时延分别为0,5,10,15个采样点,因此我们令τ为20个采样点,来进行时间和频率同步。频偏设为0.4,时间精同步搜索长度L=250。由于进行时间粗同步时,得到的峰值会受到噪声的影响,因此硬判值在不同信噪比条件下并不相同,一般来说,是随信噪比的升高呈递增趋势。仿真数据长度是10万帧。
如图4所示。在信噪比较低的情况下,两种情况下时间同步的错误率比较高,并且随着信噪比的升高而逐渐降低,在10 dB的时候错误率降低幅度很大。在12,14 dB的时候错误率几乎为零。说明新算法在各路发射天线时延不同情况下,仍然可以得到良好的时间同步性能。

图4 新算法的时间同步性能曲线
如图5所示。两种情况下频率同步的MSE值随着信噪比的升高而逐渐降低,四发四收和两发两收情况得到的MSE值很接近,说明频率同步算法可以得到和Schmidl算法同样的频率同步性能。

图5 新算法的频率同步性能曲线
通过以上仿真可以看到,该算法在多径环境下可以得到良好的同步性能。
4、结束语
目前,世界各国和各大电信厂商都已经展开了新一代移动通信系统的研究,而且由于MIMO-OFDM在提高无线链路的传输速率和可靠性的巨大潜力,使得这两种技术的结合有望成为过渡到4G的潜在技术。因此MIMO-OFDM已经成为目前4G研究的热点。本文提出的新的 MIMO-OFDM同步方法设置了新的导引符号配置方法,可以在接收端时域得到相同的两个半段序列,进行时间粗同步和频率同步,频域再根据导引插入规则进行时间精同步。仿真结果表明,该方法能实现对多个发射天线时间延迟估计,可适用于分布式MIMO系统。
仿真 相关文章:
- 一种基于OPNET的小型网络仿真及分析(04-08)
- APOX软件在A+B频段无线网络规划中的应用(06-26)
- 基于GUI的跳频OFDM系统仿真设计(03-03)
- 基于CPLD的RS-232串口通信实现(04-23)
- 2.5 Gbps收发器中1∶2解复用电路的设计(09-17)
- 填补网络 SoC 设计前端与后端验证的差距(09-19)
