一种新的MIMO-OFDM同步技术研究
时间:09-16
来源:互联网
点击:
MIMO技术近年来得到了很多学者和研究机构的重视,但是它要求信道平衰落的前提条件限制了它在宽带无线通信中的应用,为了避免符号间干扰,通常需要在接收端加信道均衡器。由于有很多根收发天线,这种均衡器是非常复杂的。另一种解决方法是将OFDM技术与MIMO技术结合起来,利用OFDM技术对多径的对抗能力,去除符号间干扰,实现宽带高速无线通信。但MIMO-OFDM系统对同步误差很敏感:在多径环境下, MIMO-OFDM系统对时间同步的要求很高;频率同步方面,由于MIMO-OFDM系统可以视为N个并行的MIMO子系统,因此频偏所引入的ICI会恶化每个子载波的信噪比,从而恶化整个MIMO-OFDM通信系统的传输性能。
对MIMO-OFDM系统来说,时间同步方面,接收端需要对各个天线上的信号分别进行延时估计和调整。频率同步方面,接收端需要对各个天线上的信号分别进行频率偏移估计和补偿。传统的MIMO-OFDM同步算法,未能完全解决这种情况下的同步问题。这种新的适用于 MIMO-OFDM系统的时间频率同步算法考虑了各发射天线到达时延各不相同的情况,因此具有更广泛意义,可适用于分布式MIMO系统。
1、MIMO-OFDM技术概述
对MIMO-OFDM技术来说,其核心部分是OFDM技术和MIMO技术。OFDM通过将频率选择性多径衰落信道在频域内转换为平坦信道,从而减少了多径衰落的影响。而MIMO技术能够在空间中产生独立的并行信道同时传输多路数据流,这样就有效地增加了系统的传输速率。这样,OFDM和MIMO两种技术的结合,就能达到两种效果:一种是系统具备很高的传输速率,另一种是通过分集达到很强的可靠性。
2、MIMO-OFDM同步技术研究现状
在MIMO系统中,由于发射天线的增加导致发射信号不但要受到与传统单天线系统中相同的各种干扰的影响,而且还存在天线间干扰。因此MIMO- OFDM系统中的同步问题比单天线系统中要困难得多,许多用于单天线系统的同步方法不能直接应用于MIMO-OFDM系统。目前对MIMO-OFDM系统同步的研究还刚刚开始,公开发表的文献还不多,其中既有研究集中式MIMO的,也有研究分布式MIMO的,但研究集中式MIMO的居多,而且在分布式 MIMO中大都是研究频率同步的,没有研究时间同步,都假设时间同步已经完成,而且各天线对之间的时延均相同。
3、新的MIMO-OFDM同步算法
3.1 系统设计
算法框图如图1所示。

图1 MIMO-OFDM系统结构图
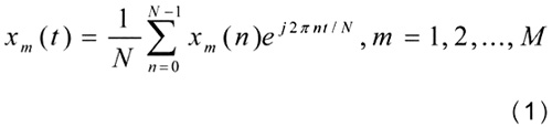
假设一个MIMO-OFDM系统有N个子载波,M个发射天线,P个接收天线,定义第m个发射天线上的OFDM调制信号为:

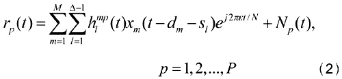
假设频偏为ε,则第p个接收天线接收到的信号为:

这里△表示多径信道的径数,hlmp表示第mp个MIMO子信道中第l径的衰落系数。Sl表示MIMO子信道中第l径的时延。dm表示接收天线收到各路发射天线信号的相对时延。这里定义第一路发射天线的相对时延是零。Np(t)是第p路接收天线上的加性噪声,设
Dp=max{d1,d2,…,dm}。
这种新的时间同步算法适用于各路天线到达时延不同的情况。传统的MIMO-OFDM系统同步算法并不能解决当各路天线到达时延不同时的同步问题。针对这种情况,我们提出了新的导引符号配置方法:第一,频域各天线的训练序列分开放置,用来区分不同时延,可以进行时间精同步;第二,在接收端时域,这些分开放置的训练序列又具有相同的两个半段,可以用来做时间粗同步和频率粗同步。
在发射端的频域,如果训练序列的齐位插入伪随机序列,偶位插入零,那么经过IFFT之后就可以得到前后两个相同的半段序列。于是我们的训练序列的插入方法如下,该方法可以保证M条发射天线上的训练序列经过IFFT之后,都可以得到两个相同的半段序列。因此即使当各个发射天线到达接收天线的时延不同时,接收天线依然可以得到两段相同的序列。
定义每个天线发射的训练序列为Tm(i),其中插入的伪随机序列为Cm(k),长度为Q,这里总的子载波数N和发射天线数M间必须满足:N=2MQ,第m个发射天线插入练序列的方式为

上式中i=0,1,….,N-1。

图2 训练序列插入方式
如图2所示,这样插入就保证了每路发射天线的训练序列都是在偶位全为零,奇位则为伪随机序列和零,可以保证在IFFT之后,每路天线的导引在时域都对称,这样在时延不同的情况下叠加,都可以得到两个相同的半段序列。
设tm(i)是对应的Tm(i)经过IFFT之后的结果:

如图3所示,假设ai,bi,ci分别是t1(i),t2(i),t3(i)的序列。d2,d3分别是t2(i),t3(i)序列相对于t1(i)的延迟。当d3为最大延迟时,按照图中的方式叠加后,两个半段序列1和2是完全相同的。

图3 时域上各路有延迟的序列叠加
对MIMO-OFDM系统来说,时间同步方面,接收端需要对各个天线上的信号分别进行延时估计和调整。频率同步方面,接收端需要对各个天线上的信号分别进行频率偏移估计和补偿。传统的MIMO-OFDM同步算法,未能完全解决这种情况下的同步问题。这种新的适用于 MIMO-OFDM系统的时间频率同步算法考虑了各发射天线到达时延各不相同的情况,因此具有更广泛意义,可适用于分布式MIMO系统。
1、MIMO-OFDM技术概述
对MIMO-OFDM技术来说,其核心部分是OFDM技术和MIMO技术。OFDM通过将频率选择性多径衰落信道在频域内转换为平坦信道,从而减少了多径衰落的影响。而MIMO技术能够在空间中产生独立的并行信道同时传输多路数据流,这样就有效地增加了系统的传输速率。这样,OFDM和MIMO两种技术的结合,就能达到两种效果:一种是系统具备很高的传输速率,另一种是通过分集达到很强的可靠性。
2、MIMO-OFDM同步技术研究现状
在MIMO系统中,由于发射天线的增加导致发射信号不但要受到与传统单天线系统中相同的各种干扰的影响,而且还存在天线间干扰。因此MIMO- OFDM系统中的同步问题比单天线系统中要困难得多,许多用于单天线系统的同步方法不能直接应用于MIMO-OFDM系统。目前对MIMO-OFDM系统同步的研究还刚刚开始,公开发表的文献还不多,其中既有研究集中式MIMO的,也有研究分布式MIMO的,但研究集中式MIMO的居多,而且在分布式 MIMO中大都是研究频率同步的,没有研究时间同步,都假设时间同步已经完成,而且各天线对之间的时延均相同。
3、新的MIMO-OFDM同步算法
3.1 系统设计
算法框图如图1所示。

图1 MIMO-OFDM系统结构图
假设一个MIMO-OFDM系统有N个子载波,M个发射天线,P个接收天线,定义第m个发射天线上的OFDM调制信号为:

假设频偏为ε,则第p个接收天线接收到的信号为:

这里△表示多径信道的径数,hlmp表示第mp个MIMO子信道中第l径的衰落系数。Sl表示MIMO子信道中第l径的时延。dm表示接收天线收到各路发射天线信号的相对时延。这里定义第一路发射天线的相对时延是零。Np(t)是第p路接收天线上的加性噪声,设
Dp=max{d1,d2,…,dm}。
这种新的时间同步算法适用于各路天线到达时延不同的情况。传统的MIMO-OFDM系统同步算法并不能解决当各路天线到达时延不同时的同步问题。针对这种情况,我们提出了新的导引符号配置方法:第一,频域各天线的训练序列分开放置,用来区分不同时延,可以进行时间精同步;第二,在接收端时域,这些分开放置的训练序列又具有相同的两个半段,可以用来做时间粗同步和频率粗同步。
在发射端的频域,如果训练序列的齐位插入伪随机序列,偶位插入零,那么经过IFFT之后就可以得到前后两个相同的半段序列。于是我们的训练序列的插入方法如下,该方法可以保证M条发射天线上的训练序列经过IFFT之后,都可以得到两个相同的半段序列。因此即使当各个发射天线到达接收天线的时延不同时,接收天线依然可以得到两段相同的序列。
定义每个天线发射的训练序列为Tm(i),其中插入的伪随机序列为Cm(k),长度为Q,这里总的子载波数N和发射天线数M间必须满足:N=2MQ,第m个发射天线插入练序列的方式为

上式中i=0,1,….,N-1。

图2 训练序列插入方式
如图2所示,这样插入就保证了每路发射天线的训练序列都是在偶位全为零,奇位则为伪随机序列和零,可以保证在IFFT之后,每路天线的导引在时域都对称,这样在时延不同的情况下叠加,都可以得到两个相同的半段序列。
设tm(i)是对应的Tm(i)经过IFFT之后的结果:

如图3所示,假设ai,bi,ci分别是t1(i),t2(i),t3(i)的序列。d2,d3分别是t2(i),t3(i)序列相对于t1(i)的延迟。当d3为最大延迟时,按照图中的方式叠加后,两个半段序列1和2是完全相同的。

图3 时域上各路有延迟的序列叠加
仿真 相关文章:
- 一种基于OPNET的小型网络仿真及分析(04-08)
- APOX软件在A+B频段无线网络规划中的应用(06-26)
- 基于GUI的跳频OFDM系统仿真设计(03-03)
- 基于CPLD的RS-232串口通信实现(04-23)
- 2.5 Gbps收发器中1∶2解复用电路的设计(09-17)
- 填补网络 SoC 设计前端与后端验证的差距(09-19)
