农话接入基站扇区化设计
时间:08-21
来源:互联网
点击:

图5单载频全向基站改造为双载频双功分基站连接示意图
2.2.2RASYS单载频三功分基站改造为双载频双功分基站
如果采用S0.5/0.5方案,只需要改变跳线的连接方式即可完成。改造天馈线连接图如图6所示。

图6单载频三功分基站改造为双载频双功分基站连接示意图
2.2.3RASYS双载频双功分基站改造为三载频三扇区基站
如果采用S1/1/1方案,只需要改变跳线的连接方式即可完成。改造天馈线连接图如图7所示。

图7双载频双功分基站改造为三载频三扇区基站连接示意图
2.2.4S0.5/0.5、S0.3/0.3/0.3与全向基站的差异
全向基站覆盖范围为基站四周均处于理想环境(无障碍物),且各个方向的覆盖基本一致,但如果采用S0.5/0.5或S0.3/0.3/0.3,则覆盖范围受定向天线方向图的影响,每个方向覆盖不再均匀,因此必须关注这种差异性。
3、定向天线和扇化增益
有3个扇区的基站,如果使用理想的120°半功率角天线模式(如图8(a)所示),就只收到来自1个扇区的信号,从而干扰减小2/3,这样扇区信噪比提高3倍,导致容量也可以增加3倍。
然而这只是理想状态,实际的120°和理想的模式有一定差异(如图8(b)所示)。同样,使用65°半功率角天线模式和理想的模式也有一定差异。

图8120°扇区中方向天线的天线模式
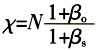
事实上,各个扇形天线的辐射模式间总有一定的重叠,约为15%,干扰也不会准确减少3倍。更准确的扇化增益表达为

式中:
N——扇区数
——全向小区的干扰因子,=0.6
——扇形小区的干扰因子,=0.85 从而扇化增益X为2.6。
以dB形式可表示为
10lgX=10lg2.6=4.1 dB
由此可知:基站全向天线改为定向天线时,天线扇区化带来扇化增益为4.1 dB。
4、无线链路空间损耗
RASYS农话接入网使用450 MHz频率,覆盖预测采用Okumura-Hata模型。该模型以市区传播损耗为标准,其他地区在此基础上进行修正。
市区的路径损耗中值标准公式为

式中:
Lp——市区基站到固定台的路径损耗(dB)
f——载波频率(MHz),范围为150~1 500 MHz
hb——基站有效天线高度(m),范围为30~200 m
hm——固定台有效天线高度(m),范围为1~10 m
d——基站到固定台的距离(km)
Ahm——有效固定天线修正因子(dB),其值取决于环境
在郊区,标准模型可以修正为

在农村(开阔地),标准模型可以修正为

从无线链路空间衰耗计算公式中可以看出,无线信号在空中的衰耗主要受到信号传播距离、传播使用的频率以及环境影响,而基站覆盖的扇区分裂不会影响其空中传播衰耗。
5、宏基站扇区裂化对链路预算的影响
链路预算分下行链路预算和上行链路预算。
对于下行链路预算,就是要求保证用户终端能可靠接收基站的信号,满足规定的误帧率要求,主要取决于基站发射功率、馈线的衰耗、插入器件的插入损耗、基站天线增益、无线链路空间衰耗、终端接收灵敏度等增益和衰减。
对于上行链路预算,就是要求保证基站能可靠接收用户终端的信号,满足规定的误帧率要求主要取决于用户终端发射功率、馈线的衰耗、终端天线增益、无线链路空间衰耗、基站接收灵敏度等增益和衰减。
改变链路中任一个因素,都将影响链路预算,并很有可能影响用户的通信,特别是网络边缘的用户通信最有可能受到影响。
对于RASYS网络已建基站,当进行宏基站扇区改造时,从以上分析可以看出,由于扇化增益和功分器插入损耗这两方面原因,下行和上行链路预算将受到不同的影响。
在下行链路预算中,基站天线扇区化带来扇化增益4.1 dB,虽然使用功分器,但功分器不带来插入衰耗,功率均等分配到各扇区。
在上行链路预算中,基站天线带来扇化增益4.1 dB,由于使用功分器,给链路带来插入损耗,一分二的功率分配损耗为3 dB,端口隔离为6 dB;一分三的功率分配损耗为4.8 dB,端口隔离为9.5 dB。
对上行和下行链路预算的具体影响情况见表1和表2。
表1农话接入基站扇化时下行链路预算变化情况

表2农话接入基站扇化时上行链路预算变化情况

从表1和表2的结果可以看出,在农话接入网络已建基站基础上,对宏基站天线的扇区进行裂化,虽然使用功分器带来了插入损耗,但
CDMA系统在天线进行扇化后,会带来扇化增益。上行链路,功分小区提高增益1.1 dB,单载频小区提高增益4.1 dB;下行链路,提高增益4.1 dB。综合效果是提高链路增益。
6、结束语
从以上分析可以得出结论:在进行农话接入基站优化设计中,由于扇区化的结果是提高链路增益,扩大基站覆盖范围,因此,不必担心会降低边缘用户通信概率和正常使用。
电路 相关文章:
- 浅谈E1线路维护技术与应用(01-12)
- R4网络接口和电路域容灾技术(01-05)
- 移动通信网引入IMS的相关探讨(02-21)
- 未来接入网的结构与演进(01-26)
- 电子熔丝在计算机应用中的优势(06-08)
- 高性能、高集成度的TD-SCDMA模拟基带集成电路的实现和应用(01-09)
