降压调节器如何“变身”智能可调光LED驱动器?
SUP是辅助调节电压, FBREF(NEW)是RSENSE两端的目标电压。

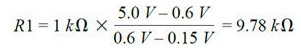
因此,可使用以下公式获取150 mV的有效反馈基准,其中R2 = 1 kΩ,VSUP= 5 V:

LED电流为:

这种方法不需要SS或TRK引脚。FB引脚仍然调节至600 mV(但RSENSE的电压调节至FBREF(NEW))。这意味着芯片的其他功能(包括软启动、跟踪和电源良好指示)仍将正常运行。
这种方法的缺点是RSENSE和FB之间的偏移受到电源精度的严重影响。使用ADR5040等精密基准电压源可能是理想的,但不太精确的±5%基准容差可能在LED电流上产生±12%的变化。表1显示了比较结果:

表1. SS/TRK和偏移RSENSE的比较
精确电流调节的另一个关键是适当布局连接至检测电阻。4引脚检测电阻是理想之选,但可能成本比较昂贵。借助良好的布局技术,我们可以使用传统的2引脚电阻实现高精度,如图9所示。

图9.RSENSE的建议PCB走线路径
除调节之外的功能
使用现成的降压稳压器调节LED电流非常简单。此处的示例采用了ADP2384.更加详尽的论文还包括使用 ADP2441的示例,该器件的引脚较少,具有36 V输入电压范围。该文显示了一些示例,展示如何实施专用LED降压稳压器提供的很多"智能"功能,例如LED短路/开路故障保护、RSENSE开路/短路故障保护、PWM调光、模拟调光和电流折返热保护。我们在本文中将使用上例中的ADP2384,讨论PWM和模拟调光、电流折返。
使用PWM和模拟控制进行调光
"智能"LED驱动器的一个关键要求是使用 调光制来调节LED亮度,采用以下两种方法之一:PWM和模拟。PWM调光通过调节脉冲占空比来控制LED电流。如果频率高于120 Hz,人眼会均衡这些脉冲,以产生可感知的平均光度。模拟调光可在恒定直流值下调节LED电流。
可通过打开和关闭与RSENSE串联插入的NMOS开关,实施PWM调光。这些电流水平可能需要功率器件,但添加功率器件会抵消通过使用包含自身电源开关的降压稳压器获得的大小和成本益处。或者,可以通过快速打开和关闭稳压器来执行PWM调光。在低PWM频率下(<1 kHz),这样仍然可以提供良好的精度(图10)。

图10. ADP2384 PWM调光线性度-200 Hz下的输出电流与占空比
与所有通用降压稳压器相同,ADP2384没有针脚来应用PWM调光输入,但可以操控FB引脚以启用和禁用开关。如果FB变为高电平,则误差放大器变为低电平,降压开关停止。如果FB重新连接到RSENSE则它将恢复正常调节。这可以通过低电流NMOS晶体管或通用二极管实现。在图11中,高PWM信号将RSENSE连接到FB,实现LED调节。低PWM信号关闭NMOS,有一个上拉电阻将FB电平变为高电平。

图11. 使用ADP2384进行PWM调光
虽然PWM调光非常流行,但有时我们需要无噪声的"模拟"调光。模拟调光只是调节恒定LED电流,而PWM调光则进行斩波。如果使用两个调光输入,则需要模拟调光,因为多个PWM调光信号可能产生拍频,导致闪烁或声频噪声。但是,可将PWM用于一个调光控制,而将模拟用于另一个调光控制。使用通用降压稳压器,实施模拟调光的最简单方法是通过调节FB基准电路的电源,控制FB基准,如图12所示。

图12. 模拟调光电路
热折返
由于LED的使用寿命在很大程度上取决于其工作结温,有时必须监控LED温度,如果温度过高,必须做出响应。导致异常高温的原因可能是散热器连接不当、周边温度过热或其他一些极端条件。常见解决方案是在当温度超过某个阈值时减小LED电流(图13)。这称为LED 热折返。

图13. 需要的LED热折返曲线
在这种类型的调光中,LED保持在满载电流,直至到达温度阈值(T1),在这个阈值之上,LED电流随温度升高开始降低。这样可以限制LED的结温,保持它们的使用寿命。低成本NTC(负温度系数)电阻通常用于测量LED的散热器温度。通过对模拟调光方案进行细微修改,NTC的温度可以轻松控制LED电流。如果SS/TRK引脚用于控制FB基准,则可以使用一种简单方法,将NTC与基准电压并联放置(图14)。

图14. 使用SS/TRK的LED热折返
随着散热器温度升高,NTC电阻下降。NTC形成R3的电阻分压器。如果分压器的电压高于基准电压,则输出最大电流;如果NTC电阻电压降低到基准电压之下,然后降低到FB基准电压之下,则LED电流开始下降。
结论
这些技巧应该作为使用标准降压稳压器实施全面LED功能的一般指导准则。但是,由于这些功能有一点超出降压IC的目标应用范围,因此您最好联系半导体制造商,确认IC能够处理这些工作模式。
智能可调光LED驱动 降压调节器 LED照明 LED 相关文章:
- LED 无所不在(04-25)
- 汽车应用中的LED照明方案(04-29)
- 亿光电子发表LED照明省电计算器App(08-11)
- LED照明产品光电色性能检测方法研究(09-30)
- 长运通光电范宁宁:价格与质量成阻碍LED照明普及拦路虎(09-22)
- 普瑞光电改善COB技术 LED阵列每流明单价大降(11-06)
