整流电路的工作原理,整流电路的作用,什么是整流电路
星形,但两组接到晶闸管的同名端相反;两组二次绕组的中性点通过平衡电控器LB连接在一起。 桥式整流电路是使用最多的一种整流电路。这种电路,只要增加两只二极管口连接成"桥"式结构,便具有全波整流电路的优点,而同时在一定程度上克服了它的缺点。
整流电路桥式整流电路的工作原理如下:e2为正半周时,对D1、D3和方向电压,Dl,D3导通;对D2、D4加反向电压,D2、D4截止。电路中构成e2、Dl、Rfz 、D3通电回路,在Rfz ,上形成上正下负的半波整流电压,e2为负半周时,对D2、D4加正向电压,D2、D4导通;对D1、D3加反向电压,D1、D3截止。电路中构成e2、D2Rfz 、D4通电回路,同样在Rfz 上形成上正下负的另外半波的整流电压。
如此重复下去,结果在Rfz ,上便得到全波整流电压。其波形图和全波整流波形图是一样的。从图5-6中还不难看出,桥式电路中每只二极管承受的反向电压等于变压器次级电压的最大值,比全波整流电路小一半。
三相桥式全控电路TR为三相整流变压器,其接线组别采用Y/Y-12。VT1~VT6为晶闸管元件,FU1~FU6为快速熔断器。TS为三相同步变压器,其接线组别采用△/Y-11。P端为集成化六脉冲触发电路+24V电源输出端,接脉冲变压器一次绕组连接公共端。P1~P6端为集成化六脉冲触发电路功放管V1~V6集电极输出端,分别接脉冲变压器一次绕组的另一端。UC端为移相控制电压输入端。
三相桥式半控电路三相桥式半控整流电路与三相桥式全控整流电路基本相同,仅将共阳极组VT4,VT6,VT2的晶闸管元件换成了VD4,VD6,VD2整流二极管,以构成三相桥式半控整流电路。
整流电路的计算公式及实例分析:
桥式整流属于全波整流,它不是利用 副边带有中心抽头的变压器,8ttt8用四个二极管接成电桥形式,使在电压V2的正负半周均有电流流过负载,在负载形成单方向的全波脉动电压。

桥式整流电路计算主要参数:

单相全波整流电路图
利用副边有中心抽头的变压器和两个二极管构成如下图所示ssBbww的全波整流电路。从图中可见,正负半周都有电流流过负载,提高了整流效率。

全波整流的特点:
输出电压VO高;脉动小;正负半周都有电流供给负载,因而变压器得到充分利用 ,效率较高。
主要参数:

桥式整流电路电感滤波原理
电感滤波电路利用
电感器两端的电流不能突变的特点,把电感器与负载串联起来,以达到使输出电流平滑的目的。从能量的观点看,当电源提供的电流增大(由电源电压增加www.8 t tt8. com引起)时,电感器L把能量存储起来;而当电流减小时,又把能量释放出来,使负载电流平滑,8ttt8电感L有平波作用。

桥式整流电路电感滤波优点:整流二极管的导电角大,峰值电流小,输出特性较平坦。
桥式整流电路电感滤波缺点:存在铁心,笨重、体积大,易引起电磁干扰,SsbbwW.com只适应于低电压、大电流的场合。
例10.1.1桥式整流器滤波电路如图所示ssBbww,已知V1是220V交流电源,频率为50Hz,
直流电压VL=30V,负载电流IL=50mA。试求电源变压器副边电压v2的有效值,选择整流二极管及滤波电容。


桥式整流电路电容滤波电路。

图10.5分别是单相桥式整流电路图和整流滤波电路的部分波形。这里假设t《0时,电容器C已经充电到交流电压V2的最大值(如波形图所示ssBbww)。
结论1:www.ddd tt. com电容的储能作用,使得输出波形比较平滑,脉动成分降低输出电压的平均值增大。

结论2:从图10.6可看出,滤波电路中二极管的导电角小于180o ,导电时间缩短。因此www.8 t tt8. com,在短暂的导电时间内流过二极管很大的冲击电流,必须ssbbww. c om选择较大容量的二极管。
在纯电阻负载时:
有电容滤波时:
结论3:电容放电的时间τ=RLC越大,放电过程越慢,输出电压中脉动(纹波)成分越少,滤波效果越好。SsbbwW.com取τ≥(3~5)T/2,T为电源交流电压的周期。
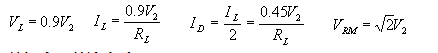
整流电路输出电压计算
对于整流电压的输出电压大小,大家一定不陌生。很多人会说,输出平均值全波0.9倍,半波0.45倍的交流有效。但是在设计中,我们常常发现一个事实,例如在半波整流后,输出电压得到的不止0.45倍,9V交流整流后可能有11~12V。之前我一直很困惑,是我记错了计算倍数吗?翻了很多书籍,公式当然是没错的。那到底怎么回事?
可能之前我们在学校学这个方面知识点的时候太过注重整流电路,而忽略了脉动比的概念,所以造成我们现在很多人对这一简单
- 电动机全波能耗制动控制电路(10-02)
- 多功能逆变电浅谈电力电子技术中的整流电路(10-13)
- 介绍整流电路的类型以及相关原理(05-18)
- 三相桥式全控整流电路原理及电路图,三相桥式全控整流电路原理及电路图(04-02)
- 电容在整流电路中有什么作用?半波整流电路是什么?单相半波可控整流电路的工作原理(04-02)
- 晶闸管整流电路的功率因数是怎么定义的 与哪些因数有关?六个二极管的整流电路画法(04-02)
