Re: Problem with 5W 2sc1971 RF amplifier
It is the wattage if dissipated in transistor and not in load due to mistuning which destroys the transistor. At 12V, 500mA equals 6 watts. See wattage handling capacity of transistor
OK, I understand. So when the circuit is properly tuned, the RF transistor will run very warm/slightly hot, but not so hot that you cannot touch the rf heat sink. I just clipped the base lead of my RF transistor. I tested it, and the RF transistor is not blown. My DCA55 gives me the following readout: NPN Silicon Transistor / Internal diode protection between C-E / Current Gain = 15 /Test Current 2.5mA / Base-Emitter V = .70V / Test Current 4.7mA / Leakage current = 0. What do you think?
Disconnect base from pcb and connect a LED between base and ground. It will indicate drive to base when input is tuned. Similarly a 2 watts/12v bulb across collector coil shoud indicate amplified power output.There are some times hairline shortages between pcb tracks not seen , scrab through in between tracks with a sharp metal point. If base drive is there and no power at output, then transistor is in dought. You can use small transistor with reduced voltage like used in your driver stage if you have not another 2sc1971 to confirm the pcb assembly working.
How about swapping out the transistor with a 2n3866. That should let me know if the 2sc1971 is fake since it tests as good.
---------- Post added at 19:37 ---------- Previous post was at 18:37 ----------
OK. I soldered in a 2n3866. I'm now able to draw current/and adjust everything. Must be a fake.
You are confused.
No, I am a microwave engineer who learned about these things.
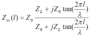
Your calculation is nonsense. The input impedance into a line with mixed impedances depends on the line length. If the length is short, Zin=Zload regardless of the line Z0.

True, having the 75 ohm connector is not exact. But it is much less critical than all these undefined wires in the rest of the circuit.
You are correct Volker. I apologise.
OK, I got my hands on a new 2sc1971......tried it in the circuit, and it worked, but could not get it to tune properly. I switched the circuit to the one below. The circuit draws around 850ma at 12.5-13v, and puts out major RF on my field strength meter. The transistor does not get very hot either. I am having the problem of getting a stable frequency out of the amplifier. The transmitter I use works perfectly. The frequency can only be measured stable very close to the antenna, and it is always 3-4mhz lower than my transmitter frequency. I tried compressing/decompressing the coils, and adjusting the trimmers....no joy. Sound like a capacitor problem? not enough pF's or too little?
Thanks.


This is also not perfect.Circuits are nealy all th same. You have to fix it with trial and error.
I had hard time with 2sc1971. I think it has tendency of oscillation because when changed with 2sc1970, it was more stable( only less output}. It was not stabe with dummy load connected but when connected with yagi antenna in despair and tuned, it worked flawlessly. First ensure there is no output without connecting input. Monitor it on fm radio, there should be no noise generated on the band. Try with reduced input power. Try with only with resistor at base, leaving choke and reduced input capactance connected to ground.
OK, All I did was change the configuration of L1 by rotating it 70 degrees CCW and now I have stability. Hard to believe that small change made such a huge difference. The power output at 12V is around 650mA. Transistor runs very warm, and the RF frequency is now registered on my counter like 50' away. Sound quality is excellent. One problem, the RF amplifier is lowering the input frequency by 2 MHZ.
Thamks
This happens due to increased parasitic feedback throgh air. Set finally local oscillator to desired frequency after fitted in box.
