How to interpret T-match behavior?
I have designed the T-match network to get resultant impedance of 2 Ohm out of 50 ohm load. I have plotted S11 & ZM (both mag & phase) and getting exact results (I have attached both circuits and simulated results). But one question is popping up in my mind about its behavior.
I take this circuit as some black box and connect the port to measure ZM. In the result, it can be observable that impedance?s magnitude is reducing and phase is increasing which is going towards a positive phase. If I look only at impedance?s magnitude then this black box can be called as capacitive circuit but if I look at the phase only then I will make it out as an inductive circuit. But here, result belongs to neither of these expected categories (either inductive or capacitive). Though one can expect in before-hand about the reduction of impedance?s magnitude as it is been designed to get down to 2 ohm from 50, how one can predict its phase variations?
Any reactance it will introduce a phase shift in a circuit.
For example a single-pole RL or RC circuit contributes up to 90° phase shift per pole. Adding more poles the phase shift increase.
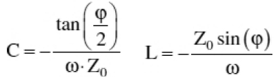
On the High-Pass topology that you use, to see the influence of L and C on the phase shift, check the attached formulas.

Hello vfone,
Thanks for your reply. My doubts are not cleared rather got into many.
I agree to the fact that any independent energy storage elements with R give poles. But in my circuit,
1> How can I find how many independent energy storage elements are present to get poles (here 2 cap & inductor but how can I be sure that these are independent)?
2> From the given equation, what does ‘Phi’ is indicating? As I got two capacitors, whether I need to consider both for C formulae? And what should be the Z0 value?
3> From my result it can be observed that, phase of input impedance is increasing (inductive effect) and magnitude of input impedance is reducing (capacitive effect). So how one system can influence phase and magnitude differently (means how phase is influenced by inductance and magnitude by capacitance)?
Regards,
VINAY RAO.
