SI-listHFSS PORT 终极解决方案(三)
时间:10-02
整理:3721RD
点击:

本文大纲
本文章分三部分:
(一)wave port与lumped port的理解
(二)两种port的仿真操作用法
(三)S参数归一化的问题
说明:这里说的port主要是针对Ansys的HFSS电磁场全波仿真器
简单介绍下HFSS:
ANSYS HFSS,是ANSYS公司推出的三维电磁仿真软件;是世界上第一个商业化的三维结构电磁场仿真软件,业界公认的三维电磁场设计和分析的电子设计工业标准。HFSS提供了一简洁直观的用户设计界面、精确自适应的场解器、拥有空前电性能分析能力的功能强大后处理器,能计算任意形状三维无源结构的S参数和全波电磁场。HFSS软件拥有强大的天线设计功能,它可以计算天线参量,如增益、方向性、远场方向图剖面、远场3D图和3dB带宽;绘制极化特性,包括球形场分量、圆极化场分量、Ludwig第三定义场分量和轴比。使用HFSS,可以计算:
① 基本电磁场数值解和开边界问题,近远场辐射问题
② 端口特征阻抗和传输常数
③ S参数和相应端口阻抗的归一化S参数
④ 结构的本征模或谐振解。
而且,由ANSYS HFSS和ANSYS Designer构成的ANSYS高频解决方案,是目前唯一以物理原型为基础的高频设计解决方案,提供了从系统到电路直至部件级的快速而精确的设计手段,覆盖了高频设计的所有环节。现在最新的版本应该到了ANSYS HFSS 16.
ANSYS workbench

3S参数归一化的问题
三个论点
1.归一化对S参数有什么影响
2.为什么要归一化
3.如何进行归一化
1.归一化对S参数有什么影响
首先理解下“归一化”里的“一”指的不是数值1,而是统一的意思。那归一化其实就是归类统一的意思,那到底要统一什么量呢?对,它统一的是端口阻抗。
在第一章里我们说过S参数的值和它的端口阻抗有关系,准确的说,S参数应该表述为“在端口阻抗为portz(portz可以是变量可以是常数)的条件下测得的S参数”。很显然随着端口阻抗portz变化,那么测出来的S参数同样也会发生变化。
我们先来看一下同一个网络,在端口阻抗设分别设为50欧和75欧时跑出来的S11曲线的差别,如图14

图14
明显看出来两个曲线的差别,那么它们到底哪一个是正确的S11曲线呢?
其实,这两个S11曲线都是正确的,上面说过S参数其实在一定的端口阻抗条件下测出来的值,两种S11曲线只不过是两种不同情况下的表示方法而已,它们所描述的网络其实还是那个网络。打个比方,比如一条狗,中国人说这个动物叫“狗”,美国人说这个动物叫“dog”,那么这个动物是叫“狗”正确还是叫“dog”正确呢,很显然都没有错,狗还是那条狗,只是在不同的情况下叫法不一样而已。
可能大家会问,既然端口阻抗变化后导致了S参数的变化,那么导出来的S参数里回包含端口阻抗的信息么,比如S参数经常要用到时序链路仿真里去,你得告诉仿真软件我这个S参数是在哪种端口阻抗条件下得到的。OK,S参数的touchstone格式文件里面确实会包含端口阻抗的信息,如下图15所示,大家有兴趣可以随便找一个S参数文件翻翻

图15
上面图片中从左到右Hz表述扫频的正弦波的单位,S代表该文件为S参数,db代表S参数的表示形式, R 50则是代表端口阻抗为50欧。
另外我们看一个特例,就是第一章我们说的wave port不进行归一化处理时,它的端口阻抗会随着频率不停的改变且始终和被测网络接触处阻抗匹配,也就是说这样得到的的S参数没有端口间的相互作用;一旦对它进行全频带的归一化后得到的S参数就包含了各个端口间的相互作用,也就说在整个频带端口阻抗将和被测网络接触处阻抗不匹配了。对于均匀的微带线或者带状线来说,不归一化时得到的端口阻抗其实就等于特性阻抗。
某些时候特定的场合,需要将S参数做归一化处理,这就是我们底下要说的内容,为什么要归一化。
2.为什么要归一化
在实际测试中使用的一些工具,比如矢量网络分析仪,它在测试网络的S参数时在端口的地方固定使用的测试线缆或者接头是50欧的,那么它测出来的S参数就表示在端口阻抗为50欧的情况下测得的。
我们再回头看看HFSS仿真时加的wave port要是不做归一化时它的端口阻抗是不停变化的,显然为了对比实际测试和仿真的结果,端口阻抗不归一化到50欧是没有什么意义的。打个比方,比如两组数,第一组为1/3,2/3,4/3,第二组为:2/6,6/9,16/12 ,假设我们把分子看作是端口阻抗,分母看着是S参数,第一组数看作是矢量网络分析仪测得的数,它的端口阻抗都为3,第二组数为仿真得到的数,它的端口阻抗为6,9,12,在不停的变化。我要对比这两组数,那我肯定得先将第二组数分子都转成3才好对比,则将第二组数变为:1/3,2/3,4/3,这样就好对比了。这仅仅是打个比方,实际转化比这个要复杂的多。
这里只是举个例子,不是说所有实际的端口阻抗都是归一化到50欧,主要是大家听说归一化到50欧的情况太多了,多少会有点误导,归一化的值根据实际情况取舍。
另外可能有一些时域链路的仿真软件需要端口归一化到50欧,其实归一化就是为了某些特定情况的要求。接下来我们说说如何进行归一化。
3.如何进行归一化
先简单说下归一化的原理,这里就得提到Z参数,大家都知道Z参数是阻抗矩阵,可以由S参数转化而来。Z参数的值和S参数不一样,它是不会随着端口阻抗的变化而变化的,先看一下Z参数由S参数转化的公式,

图16
上式中Zn为端口阻抗,U为单位矩阵
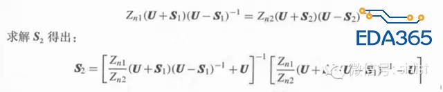
正是由于Z参数与端口阻抗无关,所以可以利用这个特性来进行归一化,

图17
具体的推导过程大家可以找相关的书籍看一下,底下我们具体说一下软件里面怎么操作
软件里面其实很简单,对于wave port来说,先选择单个port,然后填上要归一化的阻抗,如50欧,75欧等等,图18所示

图18
然后再点击图19处位置,在对话框在图示的位置选中归一化就OK了,再插一句,底下那个去嵌功能就是端口平移,只有wave port才有,可以帮我们节省很多时间

图19
对于差分S参数归一化则需要在定义差分端口处设置,如图20所示,在“Excitation”上右键选中“Differential Pairs”

图20
然后在图21所示的红框里修改差分阻抗和共模阻抗就OK了。

图21
对于lumped port来说操作方法和wave port类似,这里就不重复说明了。
总结一下归一化的内容:
1.S参数的值会随着端口阻抗的变化而变化,但是每一种情况下的S参数都可以正确的描述网络特性
2.S参数归一化是为了满足某些特定场合的需求
3.wave port非归一化时在整个频带内端口处都是匹配的,得到的是没有端口间的相互作用的S参数。
---全文完---
小白学习了 ,站在巨人的肩膀上
很清晰的解释,赞一个
感謝,對學習者很有幫助
