SI-list表面粗糙度( surface roughness) 详解(二)表面粗糙度Model的建立
SI-list【中国】表面粗糙度( surface roughness) 详解(二)表面粗糙度Model的建立
2016-05-09 SI-list【中国】 shark4685
本文大纲
1. 表面粗糙度( surface roughness)介绍.
2. 表面粗糙度Model的建立.
3. 表面粗糙度( surface roughness)的仿真.
4.仿真与测试的比对,Which roughness model is better?
关与Suface roughness
铜箔表面粗糙度是指铜箔表面具有的较小间距和微小峰谷的不平度。铜箔表面粗糙度越小,则表面越光滑,反之相反。表面粗糙度与机械零件的配合性质、耐磨性、疲劳强度、接触刚度、振动和噪声等有密切关系。表面粗糙度起因于材料加工过程

Roughness Model
1.Hammerstad Model
1.1 Classic Hammerstad Model (1980)
Classic Hammerstad Model定义如下所示:高频信号流动时阻抗随频率增加,需同时考虑趋肤效应与表面粗糙度。因趋肤效应成立的条件下,Rac与频率开根号成正比,再加上一个Hammerstadcoefficient (KH)负责导入表面粗糙度的影响,构成如下数学式:

这个KH系数,另一个物理含意是 Prough/Pflat

Classic Hammerstad model breaks down in case of very rough copper foil.Other models needed.
Classic Hammerstad model saturates at 2, not enough loss for rough copper. It should be used only for HRMS<2um.
Hammerstad Model是基于从Morganmodel(1949),而Morgan model是假设电流沿着粗糙面的锯齿状表面流动(只以2D quasi-static formof Maxwell equation描述),且损耗与D/d有关。请注意,这些都只是Morgan的假设,并没有任何理论基础,又因为KH值只在1~2之间,即会饱和,故只适用于low roughness model(average size RMS=1um.

1.2 ModifiedHammerstad Model (2013)

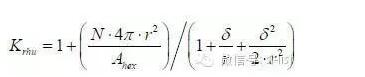
增加了SF项,让Hammerstad Model在HRMS>2um不会粗糙度饱和。D=HRMS, SF means Scaling Factor而这SF factor的物理意义,如下roughness factor所示

Hammerstad Model只需要定义表面粗糙度(Delta D=HRMS),即Rq
2.Huray Model (2009)
2.1 What is Huray model
前述的Hammerstad与Modify Hammerstadmodel虽然只需要tooth texture profileRMS参数(D),但并不具有理论基础,因为真实物理结构上,金属表面颗粒堆积的形状是像以下的结构,以3D描述的雪球模型(snowball model)

假设以六角形构成底面积单元,每个单元再以不同数目的球体堆成金字塔形状

Huray model predicts I.L.(insertion loss) with error < 1.5dB up to 30GHz.

low roughness mode参数取 r=a=0.85um(颗粒大小), Af=Aflat=65um2, N=11, (N/Af单位面积颗粒数)

2.2 Misunderstanding for Current Flow and Power Loss in HammerstadModel
Morgan model假设电流沿着导体与FR4介质交界面(锯齿状截面表面)流动的模型,其实并不正确。

如果该模型是正确的,为何电流流经较长的粗糙导体表面(流经的表面积长度明显增加),传递延迟时间并没有明显增加呢?
The answer is that local surface charge density is formed by thedisplacement of conduction electrons transverse to the surface profile so thata wave of charge density propagates at whatever speed is needed to support theexternal electric field intensity in the transmission line. No chargedparticles actually move at relativistic speeds so we need not take into accountspace contraction.
答案是:由于表面电荷密度是横截表面上的带电粒子所形成,所以电荷密度的波动传播不管是什么速度,需支持(形成)外部电场强度。实际上并没有真的带电粒子在做相对移动,所以我们不需要考虑空间上(距离)的伸缩性。
简言之,不能把良导体粗糙表面上的电流流动,当成是量导体但表面流动路径增加的等效模型.
电流在导体里流动时,假设电流分布随着导体深度而指数衰减,这模型也不正确

正确描述应该透过场传播的观念来理解,如下所示(eddy current):
蓝色实心(带箭头)线表示电流(方向),蓝色圈圈表示磁场进出,红色实心(带箭头)线表示电场(方向)。

因为电场强度在介质中的传递速度是C2=C/√4=C/2,所以在相邻导体表面的电荷密度传播速度也是C2=C/2.
下节介绍相关model的仿真...敬请期待...
-----本节完----
关于SI-list【中国】微信群
本群专注于:高速链路设计,信号完整性,电源完整性仿真,测试,验证相关技术交流,经验分享,解疑答惑,如方便,可把单位,研究方向在群名称表示出,方便大家交流合作,如果消息太多设置为免打扰模式,不便的可退群。

注明加SI-list【中国】微信群.
