求教6GHz高频板的设计
求教大神:6GHz RF 高频板的设计!
现已经附上hfss的仿真模型,请各位帮忙指点迷津!
板子是双层板,Rogers4350, 尺寸是730mil *730mil
线宽40mil,线与copper的间距是40mil,介质厚度从20mil到30mil都可以,只要能板SMA装上去就可以。
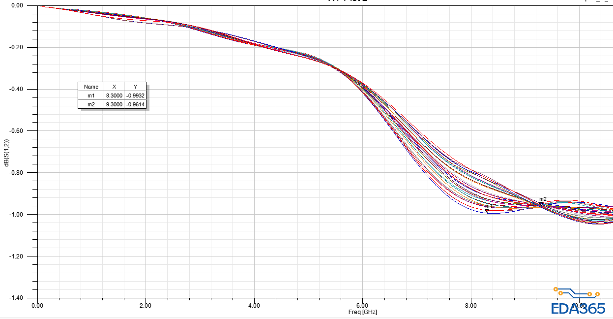
板子的理想带宽是插损0~10Ghz@-1db,回损是在-30db。
但是实际作数来的插损勉强4Ghz,但是回损就不能看了基本在-15db左右了
在hfss中,把port设置在sma处,wave port!
跪求大神指点啊
不知道你airbox是怎么设置的,难以给出恰当的意见。
还有,导体是否有设表面粗糙度,3GHz以上你就会发现设置与没设置相差0.3dB以上了,并且频率越高差异越大。另外SMA连接焊盘的位置是否考虑增加梯度导体替代焊锡。
我把模型发给你,劳驾你帮忙指点一下!在端口以及空气盒子等,指点一二!
HFSS我也是自学的!
你的airbox设置没有问题。
在你导体接触面TIN的地方加了粗糙度 huray model,1um radius 8 hall,应该-1dB带宽可以到9.6GHz。
看到你没有用de-embeding。想了解下你测试时的同轴线长度大约多少?是否有做校验,特别是相移部分两根线是否都有做校准?很重要,请一定要在smith chart 下做校验,不要只在magnitude下做。700mil CPW走线在roger材料上不至于会在6GHz以下损耗超过1dB,因为我做过全长9000mil左右的FR4 DF>0.03 CPW+过孔+带状,实际测试插损不超过,10dB。要是roger的损耗还那么大,高速SERDES背板10Gb的通道动不动就几十inch以上的线根本没法做。回损的话,5.8GHz以下为小于-20dB,5.8GHz-9.6GHz为小于-12dB。
抱歉,公司无法上传图片。
仿真来讲的话,HFss的精度在你所说的带宽内绝对是能达到90%以上的,造成你这种情况的话,有几种可能:
1.测试校准,de-embedding
2.制板工艺误差是否有考虑进模型中,像我所加入的导体粗糙度,介质损耗因子是否与制板厂商的一致,HFss自带的材质和实际板厂的还是有点差别的,找制板厂商确认好,不要差别太大,覆铜是否有考虑铜上下宽度差,这会对走线的特征阻抗造成一点影响,你要尽量导入到模型中。当然如果你只是用来做设计导向,不追求极高精度的话,无所谓了,这里只是提醒下会对结果造成影响的地方。然后,就是焊锡,你会发现,锡焊得厚和焊得薄测得的结果有时会有比较大的差别,主要反映在回损上,插损还好。
S21 < -0.5 dB, but S11 > -30 dB, FYR.
可以请教一下,你在该模型上做了哪些动作吗,谢谢!
请问我的模型本身的设置是否存在问题!
" 可以请教一下,你在该模型上做了哪些动作吗,谢谢!"
Didn't you see ? I have shown you in the picture.
Add ground via fences (between GND1, GND2 and GND) .
我有看到,我的意思是除了可看见的,如过孔,var=0等,我指的的是内在的设置不可见的!抱歉让你误解了!
Change nothing, except add ground via fence.
谢谢!
