在高温超导滤波器后级的低温低噪声放大器的设计和调试方法
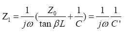
构,一个电容后端接了一段开路微带线,根据微带线理论,此支路等效阻抗Z1由(3)式决定: 其中,β由微带线宽高比W/h和介质介电常数决定,通过改变微带线宽W可以改变参数β。于是我们可以通过调节微带线的L与W来微调接入阻抗Z的值。这样的结构相当于一个连续可调的电容C’。增加这样一个可调微带电容结构以后,支路电容值可以通过切割或者粘贴微带线连续可调,给低温调试带来极大的便利。类似的,如果使用一段末端接地的短微带线作为支路,则相当于一个可调电感,同样可以用来调试放大器电路。 图4 Smith圆图和可调微带电容 图5 低温低噪声放大器性能 3 结论 本文介绍了低温下低噪声放大器的设计调试方法。总结了综合考虑功率匹配,驻波匹配和噪声匹配的设计思路。针对低温下放大器性能和常温相比有很大改变的情况,提出了利用Smith圆图和微带可调电容结构的调试方法,并成功研制出工作在高温超导滤波器系统中频率范围为1.9G-2GHz的低温低噪声放大器,其各项指标均达到要求,该方法对于L波段均适用。 本文作者创新点: 

上述调试方法适用于L波段,对于更高的微波频段,电路分布效应进一步增加,需要更精确的调试方法。最后,经过调试的低温低噪声放大器在70K温度下1.9GHz-2GHz通带内满足增益大于18,输入输出反射损耗小于-20dB,噪声低于0.5dB,满足性能要求并且和超导滤波器匹配良好(图5)。 
1. 介绍工作在超低温(70K)下的超导滤波器系统中低噪声放大器的研制方法。
2. 利用Smith圆图和可调微带电容进行低温下调试
3. 并研制出了高性能的1.9GHz-2GHz频段的低温低噪声放大器。
参考文献:
[1] Klauda. M, Kasser. T, Mayer. B."Superconductors and Cryogenics for Future Communication Systems"IEEE Transactions on Microwave Theory and Techniques, 2000;48(7):1228.
[2] 李宗谦.《微波工程基础》.清华大学出版社,2004:168.
[3] 王昕,王凡,张晓平等. "场效应器件低温特性与低噪声放大器".低温物理学报,2005;27(2):159-164.
[4] 王昌林,李东生,张勇. "一种射频CMOS低噪声放大器的设计". 微计算机信息,2006.12:117-119
作者简介:
蔡康康 男,1983年11月生于浙江,2004年毕业于清华大学电子工程系并获清华大学学士学位。现为清华大学物理系硕士研究生,研究方向主要为超导系统中低噪声放大器设计。
Email:caikangkang00@mails.tsinghua.edu.cn; 联系电话:13693322200
曹必松(1946- ),男,清华大学物理系博导,研究方向:超导物理的基础研究,超导电子学应用研究。
