建立比较器的外部滞回电压
时间:11-28
来源:Maxim
点击:
![]() 图10. 图9电路的输入/输出电压波形 根据输出电压的两个极限值(两个电源摆幅), 可以很容易地计算反馈分压网络的电阻值。
R1可按下式计算:
第4步
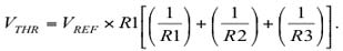
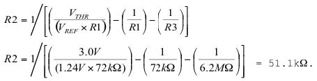
在该门限点, 当输入电压VIN超过阈值时, 比较器输出由低电平变到高电平。本例中, 选择VTHR=3V。 第5步
本例中, R2的标准值为44.2k。 第6步 按如下步骤验证电压和滞回电压:VIN上升门限 = 2.992V, 等于VREF乘以R1, 除以R1、R2和R3并联后的阻值。 ![]() VIN下降门限 = 2.942V。因此, 滞回电压 = VTHR - VTHF = 50mV. ![]() 最后, 开漏结构的比较器内部滞回电压为4mV (MAX9016、MAX9018、MAX9020), 需要外接上拉电阻, 如图11所示。外加滞回可以通过正反馈产生, 但是计算公式与上拉输出的情况稍有不同。滞回电压 = VTHR - VTHF = 50mV.按如下步骤计算电阻值: 第1步 选择R3, 在IN_+端的漏电流小于2nA, 所以通过R3的电流至少为0.2μA, 以减小漏电流引起的误差。R3可由R3 = VREF/IR3或R3 = [(VCC - VREF)/IR3] - R4两式求得, 取其较小值。例如, 使用MAX9118 (VREF=1.24V), VCC = 5V, IR3 = 0.2μA, R4 = 1M, 计算结果为6.2M和18M, 则R3选6.2M. 第2步
第4步
本例中, R2的标准值为49.9k。
|
比较器 相关文章:
- 比较器的合理选择(06-09)
- 采用新型放大器实现高性能的电流检测(05-10)
- 适用于SAR ADC的CMOS比较器的设计(01-02)
- 利用低功耗比较器自动检测音频附件(05-11)
- 高性能CMOS集成电压比较器设计(10-07)
- 带有延时的备份电池方案(01-31)













